Закон Санкт-Петербурга от 21.06.2018 N 364-71 "О внесении изменений в Закон Санкт-Петербурга "Социальный кодекс Санкт-Петербурга" и Закон Санкт-Петербурга "О форме предоставления мер социальной поддержки и дополнительных мер социальной поддержки по оплате жилого помещения и коммунальных услуг..."
ЗАКОН САНКТ-ПЕТЕРБУРГА
О внесении изменений в Закон Санкт-Петербурга
"Социальный кодекс Санкт-Петербурга" и Закон Санкт-Петербурга
"О форме предоставления мер социальной поддержки
и дополнительных мер социальной поддержки по оплате
жилого помещения и коммунальных услуг в Санкт-Петербурге"
Принят Законодательным |
|
Собранием Санкт-Петербурга | 20 июня 2018 года |
(В редакции Закона Санкт-Петербурга от 27.09.2018 N 499-99)
Статья 1
Внести в главу 10 Закона Санкт-Петербурга от 9 ноября 2011 года N 728-132 "Социальный кодекс Санкт-Петербурга" следующие изменения:
1. Статью 47 дополнить пунктами 6 и 7 следующего содержания:
"6. Дополнительная мера социальной поддержки, предусмотренная в пункте 6 статьи 48 настоящего Кодекса, предоставляется гражданам, имеющим место жительства в Санкт-Петербурге, являющимся инвалидами III группы и проживающим в жилых помещениях частного жилищного фонда.
7. Дополнительная мера социальной поддержки, предусмотренная в пункте 7 статьи 48 настоящего Кодекса, предоставляется гражданам, имеющим место жительства в Санкт-Петербурге, проживающим в жилых помещениях частного жилищного фонда, являющимся инвалидами I и II групп или членами семей, имеющих детей-инвалидов.
Дополнительная мера социальной поддержки, предусмотренная в пункте 7 статьи 48 настоящего Кодекса, гражданам, являющимся членами семей, имеющих детей-инвалидов, предоставляется на семью.".
2. Статью 48 дополнить пунктами 6 и 7 следующего содержания:
"6. Компенсация за счет средств бюджета Санкт-Петербурга расходов на оплату за содержание жилого помещения, включая расходы на уплату взноса на капитальный ремонт общего имущества многоквартирного дома, в размере 50 процентов занимаемой общей площади жилых помещений в пределах регионального стандарта нормативной площади жилого помещения.
7. Компенсация за счет средств бюджета Санкт-Петербурга расходов на оплату за содержание жилого помещения, за исключением расходов на уплату взноса на капитальный ремонт общего имущества многоквартирного дома, в размере 50 процентов занимаемой общей площади жилых помещений в пределах регионального стандарта нормативной площади жилого помещения.".
3. Статью 49 дополнить пунктом 1_1 следующего содержания:
"1_1. Форма предоставления дополнительных мер социальной поддержки, предусмотренных в пунктах 6 и 7 статьи 48 настоящего Кодекса, определяется законом Санкт-Петербурга.".
Статья 2
Внести в статью 3 Закона Санкт-Петербурга от 20 мая 2009 года N 228-45 "О форме предоставления мер социальной поддержки и дополнительных мер социальной поддержки по оплате жилого помещения и коммунальных услуг в Санкт-Петербурге" следующие изменения:
1. В пункте 3:
1) подпункт 1 изложить в следующей редакции:
"1)
инвалидам, проживающим в жилых помещениях государственного жилищного фонда,
денежные выплаты предоставляются в размере, определяемом по формуле (далее -
):
,
где:
- количество
граждан, включающее инвалида и совместно проживающих с ним лиц;
- общая площадь
жилого помещения (площадь комнат в общежитиях);
- региональный
стандарт нормативной площади жилого помещения на одного человека;";
2) дополнить подпунктами 1_1 и 1_2 следующего содержания:
"1_1)
инвалидам III группы, проживающим в жилых помещениях частного жилищного фонда,
инвалидам I и II групп, проживающим в жилых помещениях частного жилищного фонда
в многоквартирных домах, признанных в установленном Правительством Российской
Федерации порядке аварийными и подлежащими сносу или реконструкции, или
проживающим в жилых домах, денежные выплаты предоставляются в размере,
определяемом по формуле (далее -
):
;
1_2) инвалидам I
и II групп, которые проживают в жилых помещениях частного жилищного фонда и
обязаны вносить взносы на капитальный ремонт общего имущества в многоквартирном
доме, денежные выплаты предоставляются в размере, определяемом по формуле
(далее -
):
;";
3) подпункт 2 изложить в следующей редакции:
"2) семьям,
имеющим детей-инвалидов, проживающим в жилых помещениях государственного
жилищного фонда, денежные выплаты предоставляются в размере, определяемом по
формуле (далее -
):
,
где:
- количество
членов семьи, имеющей ребенка-инвалида;";
4) дополнить подпунктами 2_1 и 2_2 следующего содержания:
"2_1)
семьям, имеющим детей-инвалидов, проживающим в жилых помещениях частного
жилищного фонда в многоквартирных домах, признанных в установленном
Правительством Российской Федерации порядке аварийными и подлежащими сносу или
реконструкции, или проживающим в жилых домах, денежные выплаты предоставляются
в размере, определяемом по формуле (далее -
):
,
где:
- количество
членов семьи, имеющей ребенка-инвалида;
2_2) семьям,
имеющим детей-инвалидов, которые проживают в жилых помещениях частного
жилищного фонда и обязаны вносить взносы на капитальный ремонт общего имущества
в многоквартирном доме, денежные выплаты предоставляются в размере,
определяемом по формуле (далее -
):
,
где:
- количество
членов семьи, имеющей ребенка-инвалида.".
2. Дополнить пунктом 3_1 следующего содержания:
"3_1. Гражданам, имеющим право на дополнительные меры социальной поддержки по оплате за содержание жилого помещения в соответствии с пунктами 6 и 7 статьи 48 Закона Санкт-Петербурга от 9 ноября 2011 года N 728-132 "Социальный кодекс Санкт-Петербурга", денежные выплаты предоставляются в следующих размерах:
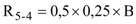
1) инвалидам I и
II групп, проживающим в жилых помещениях частного жилищного фонда, денежные
выплаты предоставляются в размере, определяемом по формуле (далее -
):
;
2) инвалидам III
группы, которые проживают в жилых помещениях частного жилищного фонда и обязаны
вносить взносы на капитальный ремонт общего имущества в многоквартирном доме, и
инвалидам I, II и III групп, проживающим в жилых помещениях частного жилищного
фонда в многоквартирных домах, признанных в установленном Правительством
Российской Федерации порядке аварийными и подлежащими сносу или реконструкции,
или проживающим в жилых домах, денежные выплаты предоставляются в размере,
определяемом по формуле (далее -
):
;
3) семьям,
имеющим детей-инвалидов, проживающим в жилых помещениях частного жилищного
фонда, денежные выплаты предоставляются в размере, определяемом по формуле
(далее -
):
,
где:
- количество
членов семьи, имеющей ребенка-инвалида;
4) семьям,
имеющим детей-инвалидов, проживающим в жилых помещениях частного жилищного
фонда в многоквартирных домах, признанных в установленном Правительством
Российской Федерации порядке аварийными и подлежащими сносу или реконструкции,
или проживающим в жилых домах, денежные выплаты предоставляются в размере,
определяемом по формуле (далее -
):
,
где:
- количество
членов семьи, имеющей ребенка-инвалида.".
Статья 21
1. Денежные выплаты, рассчитанные в соответствии с пунктами 1 и 2 статьи 2 настоящего Закона Санкт-Петербурга, если их размер в отопительный период меньше размера денежных выплат, предоставленных в мае 2018 года, а в неотопительный период меньше размера денежных выплат, предоставленных в июне 2018 года, предоставляются в размере аналогичных денежных выплат, предоставленных соответственно в мае 2018 года и июне 2018 года, до сохранения неизменными оснований и условий, в соответствии с которыми они предоставлялись.
2. Финансирование расходов, связанных с реализацией пункта 1 настоящей статьи, осуществляется за счет средств бюджета Санкт-Петербурга.
(Статья дополнена - Закон Санкт-Петербурга от 27.09.2018 N 499-99, изменения распространяются на правоотношения, возникшие с 1 июля 2018 года)
Статья 3
Настоящий Закон Санкт-Петербурга вступает в силу с 1 июля 2018 года.
Губернатор Санкт-Петербурга |
Г.С.Полтавченко |
Санкт-Петербург
21 июня 2018 года
N 364-71
