Постановление Правительства Санкт-Петербурга от 20.04.2022 N 346 "Об утверждении Порядка предоставления в 2022-2024 годах субсидии Санкт-Петербургскому государственному унитарному предприятию "Петербургский метрополитен" на увеличение уставного фонда"
ПРАВИТЕЛЬСТВО САНКТ-ПЕТЕРБУРГА
ПОСТАНОВЛЕНИЕ
20.04.2022 | N 346 |
Об утверждении Порядка предоставления
в 2022-2024 годах субсидии Санкт-Петербургскому
государственному унитарному предприятию
"Петербургский метрополитен" на увеличение
уставного фонда
(В редакции Постановления Правительства Санкт-Петербурга
от 15.09.2022 г. N 833; от 02.06.2023 г. N 554)
В соответствии с Бюджетным кодексом Российской Федерации, общими требованиями к нормативным правовым актам, муниципальным правовым актам, регулирующим предоставление субсидий, в том числе грантов в форме субсидий, юридическим лицам, индивидуальным предпринимателям, а также физическим лицам - производителям товаров, услуг, утвержденными постановлением Правительства Российской Федерации от 18.09.2020 N 1492 "Об общих требованиях к нормативным правовым актам, муниципальным правовым актам, регулирующим предоставление субсидий, в том числе грантов в форме субсидий, юридическим лицам, индивидуальным предпринимателям, а также физическим лицам - производителям товаров, работ, услуг, и о признании утратившими силу некоторых актов Правительства Российской Федерации и отдельных положений некоторых актов Правительства Российской Федерации" (далее - общие требования), и постановлением Правительства Санкт-Петербурга от 30.06.2014 N 552 "О государственной программе Санкт-Петербурга "Развитие транспортной системы Санкт-Петербурга" Правительство Санкт-Петербурга
ПОСТАНОВЛЯЕТ:
1. Утвердить Порядок предоставления в 2022-2024 годах субсидии Санкт-Петербургскому государственному унитарному предприятию "Петербургский метрополитен" на увеличение уставного фонда (далее - Порядок) согласно приложению.
2. В соответствии с подпунктом 2 пункта 2 статьи 78 Бюджетного кодекса Российской Федерации и общими требованиями Комитету по транспорту (далее - Комитет) в целях реализации Порядка в трехдневный срок принять нормативный акт, регулирующий отдельные вопросы предоставления субсидии в соответствии с Порядком (далее - субсидия), которым установить:
форму заявки на предоставление субсидии (далее - заявка), а также требования к ней;
форму расчета планируемых затрат по исполнению обязательств, источником финансового обеспечения которых является субсидия, а также требования к ней;
форму согласия на обработку персональных данных, а также требования к ней;
порядок представления и рассмотрения заявки и документов, а также порядок принятия решения о предоставлении субсидии в части, не урегулированной Порядком ;
порядок и сроки перечисления субсидии в части, не урегулированной Порядком ;
порядок и сроки представления Санкт-Петербургским государственным унитарным предприятием "Петербургский метрополитен" (далее - ГУП "Петербургский метрополитен") отчетности о достижении результатов предоставления субсидии (далее - результаты), а также порядок и сроки представления отчетности об осуществлении расходов, источником финансового обеспечения которых является субсидия; (В редакции Постановления Правительства Санкт-Петербурга от 02.06.2023 г. N 554)
сроки возврата ГУП "Петербургский метрополитен" в бюджет Санкт-Петербурга не использованного в отчетном финансовом году остатка субсидии;
порядок и сроки возврата ГУП "Петербургский метрополитен" в бюджет Санкт-Петербурга средств субсидии в случае недостижения ГУП "Петербургский метрополитен" результатов (В редакции Постановления Правительства Санкт-Петербурга от 02.06.2023 г. N 554)
сроки проведения Комитетом проверок соблюдения ГУП "Петербургский метрополитен" и лицами, получающими средства на основании договоров, заключенных с ГУП "Петербургский метрополитен", порядка и условий предоставления субсидии, в том числе в части достижения результатов.
3. Постановление вступает в силу со дня его официального опубликования, за исключением пункта 16 Порядка, вступающего в силу с 01.01.2023.
4. Контроль за выполнением постановления возложить на вице-губернатора Санкт-Петербурга Полякова К.В. (В редакции Постановления Правительства Санкт-Петербурга от 15.09.2022 г. N 833)
4-1. Сведения о субсидии размещены на едином портале бюджетной системы Российской Федерации в информационно-телекоммуникационной сети "Интернет (Дополнен - Постановление Правительства Санкт-Петербурга от 02.06.2023 г. N 554)
Губернатор Санкт-Петербурга |
А.Д.Беглов |
Приложение
к постановлению
Правительства Санкт-Петербурга
от 20.04.2022 N 346
Порядок
предоставления в 2022-2024 годах субсидии Санкт-Петербургскому государственному унитарному предприятию "Петербургский метрополитен" на увеличение уставного фонда
(В редакции Постановления Правительства Санкт-Петербурга
от 15.09.2022 г. N 833; от 02.06.2023 г. N 554)
1. Настоящий Порядок устанавливает правила предоставления в 2022-2024 годах субсидии Санкт-Петербургскому государственному унитарному предприятию "Петербургский метрополитен" на увеличение уставного фонда, предусмотренной Комитету по транспорту (далее - Комитет) в законе Санкт-Петербурга о бюджете на соответствующий финансовый год и на плановый период (далее - Закон Санкт-Петербурга о бюджете) в соответствии с постановлением Правительства Санкт-Петербурга от 30.06.2014 N 552 "О государственной программе Санкт-Петербурга "Развитие транспортной системы Санкт-Петербурга" (далее - субсидия).
2. Субсидия предоставляется на безвозмездной и безвозвратной основе Санкт-Петербургскому государственному унитарному предприятию "Петербургский метрополитен" (далее - получатель субсидии).
3. Субсидия предоставляется на увеличение уставного фонда получателя субсидии в целях финансового обеспечения затрат по погашению в 2022-2024 годах основного долга по кредиту, предоставленному получателю субсидии в целях рефинансирования долга на приобретение вагонов метро (далее - затраты).
4. Субсидия предоставляется получателю субсидии в пределах средств, предусмотренных на их предоставление Комитету Законом Санкт-Петербурга о бюджете и (или) сводной бюджетной росписью.
4-1. Сведения о субсидии размещены на едином портале бюджетной системы Российской Федерации в информационно-телекоммуникационной сети "Интернет (Дополнен - Постановление Правительства Санкт-Петербурга от 02.06.2023 г. N 554)
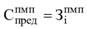
5. Предельный размер субсидии на соответствующий финансовый год определяется по следующим формулам:
![]()
- предельный
размер субсидии на увеличение уставного фонда на соответствующий финансовый
год;
- планируемые в
соответствующем финансовом году затраты по погашению основного долга по кредиту
в целях рефинансирования долга на приобретение вагонов метро.
Перечень мероприятий, затраты на проведение которых финансируются за счет средств субсидии, утверждается Комитетом в плане финансово-хозяйственной деятельности получателя субсидии на соответствующий финансовый год.
6. Условиями предоставления субсидии являются:
6.1. Отсутствие у получателя субсидии неисполненной обязанности по уплате налогов, сборов, страховых взносов, пеней, штрафов, процентов, подлежащих уплате в соответствии с законодательством Российской Федерации о налогах и сборах, превышающей 300 тыс.руб.(в отношении субсидии, предоставляемой в 2022 году) (В редакции Постановления Правительства Санкт-Петербурга от 15.09.2022 г. N 833)
6.1-1. Отсутствие у получателя субсидии неисполненной обязанности по уплате налогов, сборов, страховых взносов, пеней, штрафов, процентов, подлежащих уплате в соответствии с законодательством Российской Федерации о налогах и сборах (в отношении субсидий, предоставляемых в 2023 и 2024 годах) (Дополнен - Постановление Правительства Санкт-Петербурга от 15.09.2022 г. N 833)
6.2. Наличие расчета планируемых затрат на погашение основного долга по кредиту в целях рефинансирования долга на приобретение вагонов метро по форме, установленной Комитетом.
6.3. Наличие обязательства получателя субсидии о достижении результата предоставления субсидии (далее - результат), установленного в соглашении о предоставлении субсидии (далее - соглашение), в соответствии с пунктом 14 настоящего Порядка (В редакции Постановления Правительства Санкт-Петербурга от 02.06.2023 г. N 554)
6.4. Наличие обязательства получателя субсидии по представлению согласий лиц, получающих средства на основании договоров, заключенных с получателем субсидии, за счет средств, полученных из бюджета Санкт-Петербурга (далее - контрагенты) (за исключением государственных (муниципальных) унитарных предприятий, хозяйственных товариществ и обществ с участием публично-правовых образований в их уставных (складочных) капиталах, а также коммерческих организаций с участием таких товариществ и обществ в их уставных (складочных) капиталах), на осуществление в отношении них Комитетом проверок соблюдения порядка и условий предоставления субсидии, в том числе в части достижения результатов предоставления субсидии (далее - проверки), а также проверок органами государственного финансового контроля в соответствии с Бюджетным кодексом Российской Федерации.
6.5. Получатель субсидии не должен получать средства из бюджета Санкт-Петербурга на цели, указанные в пункте 3 настоящего Порядка, на основании иных нормативных правовых актов (правовых актов).
6.6. Получатель субсидии не должен находиться в процессе реорганизации (за исключением реорганизации в форме присоединения к юридическому лицу, являющемуся получателем субсидии, другого юридического лица), ликвидации, в отношении него не введена процедура банкротства, деятельность получателя субсидии не приостановлена в порядке, предусмотренном законодательством Российской Федерации.
6.7. Отсутствие в реестре дисквалифицированных лиц сведений о дисквалифицированных руководителе, членах коллегиального исполнительного органа, лице, исполняющем функции единоличного исполнительного органа, или главном бухгалтере получателя субсидии.
6.8. Получатель субсидии не должен являться иностранным юридическим лицом, в том числе местом регистрации которого является государство или территория, включенные в утверждаемый Министерством финансов Российской Федерации перечень государств и территорий, используемых для промежуточного (офшорного) владения активами в Российской Федерации (далее - офшорная компания), а также российским юридическим лицом, в уставном (складочном) капитале которого доля прямого или косвенного (через третьих лиц) участия офшорных компаний в совокупности превышает 25 процентов (если иное не предусмотрено законодательством Российской Федерации). При расчете доли участия офшорной компании в капитале российского юридического лица не учитывается прямое и (или) косвенное участие офшорной компании в капитале публичных акционерных обществ (в том числе со статусом международной компании), акции которых обращаются на организованных торгах в Российской Федерации, а также косвенное участие такой офшорной компании в капитале других российских юридических лиц, реализованное через участие в капитале указанных публичных акционерных обществ (В редакции Постановления Правительства Санкт-Петербурга от 02.06.2023 г. N 554)
6.9. Отсутствие у получателя субсидии просроченной задолженности по возврату в бюджет Санкт-Петербурга субсидий, бюджетных инвестиций, предоставленных в том числе в соответствии с иными правовыми актами, и иной просроченной (неурегулированной) задолженности по денежным обязательствам перед Санкт-Петербургом (за исключением субсидий, предоставляемых государственным (муниципальным) учреждениям, субсидий в целях возмещения недополученных доходов, субсидий в целях финансового обеспечения или возмещения затрат, связанных с поставкой товаров (выполнением работ, оказанием услуг) получателем субсидии физическим лицам).
6.10. Получатель субсидии не должен находиться в реестре недобросовестных поставщиков (подрядчиков, исполнителей) в связи с отказом от исполнения заключенных государственных (муниципальных) контрактов о поставке товаров, выполнении работ, оказании услуг по причине введения политических или экономических санкций иностранными государствами, совершающими недружественные действия в отношении Российской Федерации, граждан Российской Федерации или российских юридических лиц, и (или) введением иностранными государствами, государственными объединениями и (или) союзами и (или) государственными (межгосударственными) учреждениями иностранных государств или государственных объединений и (или) союзов мер ограничительного характера (в отношении субсидии, предоставляемой в 2022 году). (В редакции Постановления Правительства Санкт-Петербурга от 15.09.2022 г. N 833)
6.10-1. Получатель субсидии не должен находиться в реестре недобросовестных поставщиков (подрядчиков, исполнителей), ведение которого осуществляется в соответствии с Федеральным законом "О контрактной системе в сфере закупок товаров, работ, услуг для обеспечения государственных и муниципальных нужд" (в отношении субсидий, предоставляемых в 2023 и 2024 годах) (В редакции Постановления Правительства Санкт-Петербурга от 15.09.2022 г. N 833)
6.11. Наличие обязательства получателя субсидии и контрагентов - юридических лиц о неприобретении за счет средств субсидии (полученных средств) иностранной валюты, за исключением операций, осуществляемых в соответствии с валютным законодательством Российской Федерации при закупке (поставке) высокотехнологичного импортного оборудования, сырья и комплектующих изделий, а также товаров, работ и услуг, приобретаемых получателем субсидии и контрагентами - юридическими лицами по направлениям затрат, указанным в пункте 3 настоящего Порядка, у поставщиков (исполнителей), относящихся к нерезидентам в соответствии с Федеральным законом "О валютном регулировании и валютном контроле", с учетом запретов и ограничений, устанавливаемых в рамках мер по противодействию внешнему санкционному давлению.
6.12. Наличие обязательства получателя субсидии возвратить в бюджет Санкт-Петербурга в срок, установленный Комитетом, остатки субсидии, не использованные в отчетном финансовом году.
6.13. Получатель субсидии не должен находиться в перечне организаций и физических лиц, в отношении которых имеются сведения об их причастности к экстремистской деятельности или терроризму, либо в перечне организаций и физических лиц, в отношении которых имеются сведения об их причастности к распространению оружия массового уничтожения.
7. Получатель субсидии должен соответствовать требованиям, предусмотренным в пунктах 6.1, 6.1-1, 6.5-6.9 и 6.13 настоящего Порядка, на дату не ранее чем за 30 календарных дней до даты подачи в Комитет заявки на предоставление субсидии (далее - заявка). (В редакции Постановления Правительства Санкт-Петербурга от 15.09.2022 г. N 833)
Проверка требований, предусмотренных в пунктах 6.1 и 6.5-6.9 настоящего Порядка, осуществляется путем сопоставления документов, подтверждающих соблюдение указанных требований, между собой, а также с информацией, полученной из открытых источников способами, не запрещенными действующим законодательством.
8. Для получения субсидии на текущий финансовый год получатель субсидии представляет в Комитет заявку с приложением документов, необходимых для предоставления субсидии (далее - документы), в соответствии с перечнем, указанным в приложении к настоящему Порядку (далее - перечень документов).
Форма заявки, форма расчета планируемых затрат на погашение основного долга по кредиту в целях рефинансирования долга на приобретение вагонов метро и форма согласия на обработку персональных данных, а также требования к ним утверждаются Комитетом.
9. Порядок и сроки рассмотрения заявки и документов:
9.1. Комитет не позднее рабочего дня, следующего за днем поступления заявки в Комитет, осуществляет регистрацию заявки в журнале учета заявок.
9.2. Комитет в течение пяти рабочих дней после регистрации заявки в Комитете:
проверяет заявку на соответствие установленной Комитетом форме заявки и требованиям к ней;
рассматривает документы на соответствие перечню документов и требованиям к ним;
проверяет получателя субсидии на соответствие условиям предоставления субсидии (В редакции Постановления Правительства Санкт-Петербурга от 15.09.2022 г. N 833)
9.3. По истечении срока, указанного в пункте 9.2 настоящего Порядка, Комитет по результатам рассмотрения заявки и документов в течение двух рабочих дней готовит заключение о предоставлении субсидии или об отказе в предоставлении субсидии (далее - заключение).
9.4. Решение о предоставлении субсидии принимается Комитетом на основании заключения и в течение трех рабочих дней оформляется распоряжением Комитета, в котором указываются получатель субсидии, предельный размер предоставляемой субсидии и направления затрат, в целях финансового обеспечения которых предоставляется субсидия.
9.5. Порядок представления и рассмотрения заявки и документов, а также порядок принятия решения о предоставлении субсидии в части, не урегулированной настоящим Порядком, утверждаются Комитетом.
10. Основаниями для отказа в предоставлении субсидии являются:
непредставление (представление не в полном объеме) заявки и (или) документов или несоответствие заявки и (или) документов предъявляемым к ним требованиям;
несоответствие получателя субсидии условиям предоставления субсидии; (В редакции Постановления Правительства Санкт-Петербурга от 15.09.2022 г. N 833)
установление факта недостоверности представленной информации;
отсутствие бюджетных ассигнований на предоставление субсидии.
11. Предоставление субсидии осуществляется на основании соглашения на текущий финансовый год, составленного в соответствии с типовой формой, утвержденной Комитетом финансов Санкт-Петербурга.
12. Проект соглашения на текущий финансовый год в течение 15 рабочих дней со дня принятия распоряжения Комитета, указанного в пункте 9.4 настоящего Порядка, направляется Комитетом получателю субсидии, который в течение трех рабочих дней со дня получения проекта соглашения подписывает его и представляет в Комитет.
В соглашение подлежит включению условие о том, что в случае уменьшения Комитету как получателю бюджетных средств ранее доведенных лимитов бюджетных обязательств на предоставление субсидии на текущий финансовый год, приводящего к невозможности предоставления субсидии в размере, определенном в соглашении, Комитет в течение пяти рабочих дней после уменьшения указанных лимитов бюджетных обязательств направляет получателю субсидии проект дополнительного соглашения к соглашению о согласовании новых условий соглашения (далее - дополнительное соглашение).
Получатель субсидии в течение трех рабочих дней со дня получения проекта дополнительного соглашения подписывает его, после чего проект дополнительного соглашения подписывается лицом, имеющим право действовать от имени Комитета.
В случае неподписания получателем субсидии проекта дополнительного соглашения в срок, указанный в абзаце третьем настоящего пункта, соглашение подлежит расторжению.
В соглашение подлежит включению условие о согласии получателя субсидии и обязательстве получателя субсидии представить согласия контрагентов на осуществление Комитетом проверок, а также осуществление проверок органами государственного финансового контроля в соответствии с Бюджетным кодексом Российской Федерации.
В соглашение подлежат включению положения о казначейском сопровождении, установленные правилами казначейского сопровождения в соответствии с бюджетным законодательством Российской Федерации.
В случае возникновения обстоятельств, приводящих к невозможности достижения в 2022 году результата и показателя в сроки, определенные соглашением, Комитет по согласованию с получателем субсидии вправе принять решение о внесении изменений в соглашение в части продления сроков достижения результата (но не более чем на 24 месяца) без изменения размера субсидии.
В случае невозможности достижения в 2022 году результата без изменения размера субсидии Комитет вправе принять решение об уменьшении значений результата и показателей на 2022 год.
В 2022 году внесение изменений в соглашение осуществляется в соответствии с абзацами пятым и шестым пункта 2 и пунктом 5 постановления Правительства Российской Федерации от 05.04.2022 N 590 "О внесении изменений в общие требования к нормативным правовым актам, муниципальным правовым актам, регулирующим предоставление субсидий, в том числе грантов в форме субсидий, юридическим лицам, индивидуальным предпринимателям, а также физическим лицам - производителям товаров, работ, услуг и об особенностях предоставления указанных субсидий и субсидий из федерального бюджета бюджетам субъектов Российской Федерации в 2022 году".
13. Субсидия перечисляется частями. Размер перечисляемой части субсидии определяется в соответствии с размером планируемых затрат, обоснованных документами, которые подтверждают обязательства получателя субсидии по совершению платежей, представленными получателем субсидии, указанных в абзацах третьем - седьмом настоящего пункта, с учетом пунктов 4 и 5 настоящего Порядка.
Перечисление субсидии получателю субсидии осуществляется в порядке и сроки, которые определены Комитетом, по результатам рассмотрения представленных получателем субсидии:
копий контракта(-ов) (договора(-ов) на погашение основного долга по кредиту в целях рефинансирования долга на приобретение вагонов метро, заключенного(-ых) получателем субсидии;
копий документов, подтверждающих обязательства получателя субсидии по совершению платежей в рамках исполнения контракта(-ов) (договора(-ов), указанного(-ых) в абзаце третьем настоящего пункта;
согласий контрагентов, с которыми получателем субсидии заключен(-ы) контракт(-ы) (договор(-ы), указанный(-е) в абзаце третьем настоящего пункта, на осуществление в отношении них Комитетом проверок, а также осуществление проверок органами государственного финансового контроля в соответствии с Бюджетным кодексом Российской Федерации, заверенных подписью руководителей контрагентов и оттиском печати (при наличии печати) (в свободной форме);
обязательств контрагентов - юридических лиц о неприобретении контрагентами - юридическими лицами за счет средств субсидии (полученных средств) иностранной валюты, за исключением операций, осуществляемых в соответствии с валютным законодательством Российской Федерации при закупке (поставке) высокотехнологичного импортного оборудования, сырья и комплектующих изделий, а также товаров, работ и услуг, приобретаемых контрагентами - юридическими лицами по затратам, указанным в пункте 3 настоящего Порядка, у поставщиков (исполнителей), относящихся к нерезидентам в соответствии с Федеральным законом "О валютном регулировании и валютном контроле", с учетом запретов и ограничений, устанавливаемых в рамках мер по противодействию внешнему санкционному давлению, заверенных подписью руководителей контрагентов и оттиском печати (при наличии печати) (в свободной форме);
согласий на обработку персональных данных лиц, заверивших документы, указанные в абзацах пятом и шестом настоящего пункта, по форме, установленной Комитетом.
Перечисление субсидии осуществляется на казначейский счет, открытый Комитету финансов Санкт-Петербурга в Управлении Федерального казначейства по г.Санкт-Петербургу для осуществления и отражения операций с денежными средствами участников казначейского сопровождения.
14. Планируемым результатом является совокупность результатов деятельности (действий) получателя субсидии и их характеристик (показателей, необходимых для достижения результата) (далее - характеристики), значения которых устанавливаются в соглашении.
Деятельность (действия) получателя субсидии выражаются в погашении основного долга по кредиту в целях рефинансирования долга на приобретение вагонов метро.
Характеристикой является доля погашения в текущем финансовом году основного долга по кредиту в целях рефинансирования долга на приобретение вагонов метро, осуществленная в предыдущем (предыдущих) финансовом (финансовых) году (годах) и (или) в текущем финансовом году от объема бюджетных ассигнований, предусмотренных Законом Санкт-Петербурга о бюджете и (или) сводной бюджетной росписью на текущий финансовый год по целевой статье на предоставление субсидии получателю субсидии (В редакции Постановления Правительства Санкт-Петербурга от 02.06.2023 г. N 554)
15. Порядок и сроки представления получателем субсидии отчетности о достижении значений результата, а также отчетности об осуществлении расходов, источником финансового обеспечения которых являются субсидии, утверждаются Комитетом. (В редакции Постановления Правительства Санкт-Петербурга от 02.06.2023 г. N 554)
Отчетность о достижении значений результата и значений показателя, а также отчетность об осуществлении расходов, источником финансового обеспечения которых являются субсидия, за соответствующий финансовый год представляется получателем субсидии не реже одного раза в квартал по формам, определенным типовой формой соглашения, утвержденной Комитетом финансов Санкт-Петербурга.
Сроки и формы представления получателем субсидии дополнительной отчетности устанавливаются в соглашении.
16. Мониторинг достижения результата исходя из достижения значений результата, определенного соглашением, и событий, отражающих факт завершения соответствующего мероприятия по получению результата (контрольная точка), осуществляется Комитетом в порядке и по формам, которые установлены Министерством финансов Российской Федерации.
Порядок и сроки проведения Комитетом оценки достижения результата утверждаются Комитетом (Дополнен - Постановление Правительства Санкт-Петербурга от 02.06.2023 г. N 554)
17. Комитет в сроки, установленные Комитетом, осуществляет проверку, по результатам которой составляет акт проведения проверки (далее - акт). Копия акта в течение трех рабочих дней после его подписания направляется Комитетом в Комитет государственного финансового контроля Санкт-Петербурга (далее - КГФК).
18. В случае выявления при проведении проверок нарушений получателем субсидии и (или) контрагентами условий предоставления субсидии Комитет одновременно с подписанием акта направляет получателю субсидии и (или) контрагентам уведомление о нарушениях условий предоставления субсидии (далее - уведомление), в котором указываются выявленные нарушения и сроки их устранения получателем субсидии и (или) контрагентами.
Копия уведомления в течение трех рабочих дней после его подписания направляется Комитетом в КГФК.
19. В случае неустранения нарушений в установленные в уведомлении сроки Комитет в течение трех рабочих дней со дня истечения указанных сроков принимает решение о возврате в бюджет Санкт-Петербурга субсидии и (или) средств, полученных контрагентами на основании договоров, заключенных с получателем субсидии (далее - средства), в форме распоряжения и направляет копии указанного распоряжения получателю субсидии и (или) контрагентам и в КГФК вместе с требованием, в котором предусматриваются:
подлежащая возврату в бюджет Санкт-Петербурга сумма денежных средств, а также сроки ее возврата;
код бюджетной классификации Российской Федерации, по которому должен быть осуществлен возврат субсидии и (или) средств.
Размер субсидии и (или) средств, подлежащих возврату по основаниям, указанным в пункте 17 настоящего Порядка, ограничивается размером денежных средств, в отношении которых были установлены факты нарушений.
20. Получатель субсидии и (или) контрагенты обязаны осуществить возврат субсидии в бюджет Санкт-Петербурга в течение семи рабочих дней со дня получения требования и копии распоряжения, указанных в пункте 18 настоящего Порядка.
21. Проверка и реализация ее результатов осуществляются органами государственного финансового контроля в соответствии с Бюджетным кодексом Российской Федерации.
22. В случае недостижения получателем субсидии результата средства субсидии подлежат возврату в бюджет Санкт-Петербурга в порядке и сроки, которые установлены Комитетом (В редакции Постановления Правительства Санкт-Петербурга от 02.06.2023 г. N 554)
23. Не использованные в отчетном финансовом году остатки субсидии подлежат возврату получателем субсидии в бюджет Санкт-Петербурга в срок, установленный Комитетом.
Возврат неиспользованных остатков субсидии осуществляется получателем субсидии в бюджет Санкт-Петербурга по коду бюджетной классификации, указанному в уведомлении о возврате субсидии, направленном Комитетом в адрес получателя субсидии.
24. В случае, если средства субсидии и (или) средства не возвращены в бюджет Санкт-Петербурга получателем субсидии и (или) контрагентами в сроки, указанные в пунктах 20, 22 и 23 настоящего Порядка, Комитет в течение 15 рабочих дней со дня истечения сроков, указанных в пунктах 20, 22 и 23 настоящего Порядка, направляет в суд исковое заявление о возврате субсидии и (или) средств в бюджет Санкт-Петербурга.
Приложение
к Порядку предоставления
в 2022-2024 годах субсидии
Санкт-Петербургскому государственному
унитарному предприятию
"Петербургский метрополитен"
на увеличение уставного фонда
Перечень
представляемых в Комитет по транспорту документов для предоставления субсидии Санкт-Петербургскому государственному унитарному предприятию "Петербургский метрополитен" на увеличение уставного фонда и требования к ним
(В редакции Постановления Правительства Санкт-Петербурга
от 15.09.2022 г. N 833; от 02.06.2023 г. N 554)
1. Копии учредительных документов Санкт-Петербургского государственного унитарного предприятия "Петербургский метрополитен" (далее - ГУП "Петербургский метрополитен") со всеми изменениями и дополнениями, заверенные подписью руководителя ГУП "Петербургский метрополитен" и оттиском печати (при наличии печати).
2. Копия свидетельства о постановке на учет ГУП "Петербургский метрополитен" в налоговом органе, заверенная подписью руководителя ГУП "Петербургский метрополитен" и оттиском печати (при наличии печати).
3. Копия акта, подтверждающего назначение на должность руководителя ГУП "Петербургский метрополитен", заверенная подписью руководителя ГУП "Петербургский метрополитен" и оттиском печати (при наличии печати).
4. Копия акта, подтверждающего назначение на должность главного бухгалтера руководителя ГУП "Петербургский метрополитен, заверенная подписью руководителя ГУП "Петербургский метрополитен" и оттиском печати (при наличии печати).
5. Справка налогового органа об исполнении налогоплательщиками (плательщиками сборов, плательщиками страховых взносов, налоговыми агентами) обязанности по уплате налогов, сборов, страховых взносов, пеней, штрафов, процентов, задолженности по налогам, сборам и иным обязательным платежам в бюджеты бюджетной системы Российской Федерации по форме, утвержденной приказом Федеральной налоговой службы Российской Федерации от 20.01.2017 N ММВ-7-8/20@ "Об утверждении формы справки об исполнении налогоплательщиком (плательщиком сбора, плательщиком страховых взносов, налоговым агентом) обязанности по уплате налогов, сборов, страховых взносов, пеней, штрафов, процентов, порядка ее заполнения и формата ее представления в электронной форме ", подтверждающая отсутствие у ГУП "Петербургский метрополитен" неисполненной обязанности по уплате налогов, сборов, страховых взносов, пеней, штрафов, процентов, подлежащих уплате в соответствии с законодательством Российской Федерации о налогах и сборах, превышающей 300 тыс.руб., на дату не ранее чем за 30 календарных дней до даты подачи в Комитет по транспорту (далее - Комитет) заявки на предоставление субсидии (на бумажном носителе, подписанная руководителем (заместителем руководителя) налогового органа и заверенная печатью (оригинал) или сформированная в электронной форме и подписанная усиленной квалифицированной электронной подписью, позволяющей идентифицировать выдавший налоговый орган (владельца квалифицированного сертификата) (на электронном носителе) (в отношении субсидии, предоставляемой в 2022 году. (В редакции Постановления Правительства Санкт-Петербурга от 15.09.2022 г. N 833)
5-1. Справка налогового органа об исполнении налогоплательщиком (плательщиком сборов, плательщиком страховых взносов, налоговым агентом) обязанности по уплате налогов, сборов, страховых взносов, пеней, штрафов, процентов, задолженности по налогам, сборам и иным обязательным платежам в бюджеты бюджетной системы Российской Федерации по форме, утвержденной приказом Федеральной налоговой службы от 23.11.2022 N ЕД-7-8/1123@ "Об утверждении формы справки об исполнении налогоплательщиком (плательщиком сбора, плательщиком страховых взносов, налоговым агентом) обязанности по уплате налогов, сборов, страховых взносов, пеней, штрафов, процентов и формата ее представления в электронной форме", подтверждающая отсутствие у ГУП "Петербургский метрополитен" неисполненной обязанности по уплате налогов, сборов, страховых взносов, пеней, штрафов, процентов, подлежащих уплате в соответствии с законодательством Российской Федерации о налогах и сборах, на дату не ранее чем за 30 календарных дней до даты подачи в Комитет заявки на предоставление субсидии (на бумажном носителе, подписанная руководителем (заместителем руководителя) налогового органа и заверенная печатью (оригинал) или сформированная в электронной форме и подписанная усиленной квалифицированной электронной подписью, позволяющей идентифицировать выдавший налоговый орган (владельца квалифицированного сертификата) (на электронном носителе) (В редакции Постановлений Правительства Санкт-Петербурга от 15.09.2022 г. N 833; от 02.06.2023 г. N 554)
6. Расчет планируемых затрат на погашение основного долга по кредиту в целях рефинансирования долга на приобретение вагонов по форме, установленной Комитетом.
7. Обязательство "ГУП "Петербургский метрополитен" предоставить согласия от лиц, получающих средства на основании договоров, заключенных ГУП "Петербургский метрополитен", за счет средств, полученных из бюджета Санкт-Петербурга (далее - контрагенты)1, на осуществление в отношении них Комитетом проверок соблюдения порядка и условий предоставления субсидии, а также проверок органами государственного финансового контроля в соответствии с Бюджетным кодексом Российской Федерации, заверенное подписью руководителя ГУП "Петербургский метрополитен" и оттиском печати (при наличии печати) (в свободной форме).
8. Справка ГУП "Петербургский метрополитен" об отсутствии иных ассигнований бюджета Санкт-Петербурга на погашение основного долга по кредиту в целях рефинансирования долга на приобретение вагонов на основании иных нормативных правовых актов Санкт-Петербурга на дату не ранее чем за 30 календарных дней до даты подачи в Комитет заявки на предоставление субсидии (далее - заявка), заверенная подписью руководителя ГУП "Петербургский метрополитен" и оттиском печати (при наличии печати) (в свободной форме).
9. Справка ГУП "Петербургский метрополитен" об отсутствии проведения процедур реорганизации2, ликвидации, введенной процедуры банкротства, об отсутствии приостановки деятельности ГУП "Петербургский метрополитен" в порядке, предусмотренном законодательством Российской Федерации на дату не ранее чем за 30 календарных дней до даты подачи в Комитет заявки, заверенная подписью руководителя ГУП "Петербургский метрополитен" и оттиском печати (при наличии печати) (в свободной форме).
10. Справка ГУП "Петербургский метрополитен" о наличии (отсутствии) в ГУП "Петербургский метрополитен" членов коллегиального исполнительного органа ГУП "Петербургский метрополитен" и лица, исполняющего функции единоличного исполнительного органа ГУП "Петербургский метрополитен", заверенная подписью руководителя ГУП "Петербургский метрополитен" и оттиском печати (при наличии печати) (в свободной форме).
11. Справка ГУП "Петербургский метрополитен" об отсутствии в реестре дисквалифицированных лиц сведений о дисквалифицированных руководителях ГУП "Петербургский метрополитен", членах коллегиального исполнительного органа ГУП "Петербургский метрополитен" (при их наличии), лице, исполняющем функции единоличного исполнительного органа ГУП "Петербургский метрополитен" (при его наличии), и главном бухгалтере ГУП "Петербургский метрополитен" по состоянию на дату не ранее чем за 30 календарных дней до даты подачи в Комитет заявки, заверенная подписью руководителя ГУП "Петербургский метрополитен" и оттиском печати (при наличии печати) (в свободной форме).
12. Справка ГУП "Петербургский метрополитен" о том, что ГУП "Петербургский метрополитен" не является иностранным юридическим лицом, в том числе местом регистрации которого является государство или территория, включенные в утверждаемый Министерством финансов Российской Федерации перечень государств и территорий, используемых для промежуточного (офшорного) владения активами в Российской Федерации (далее - офшорная компания), а также российским юридическим лицом, в уставном (складочном) капитале которого доля прямого или косвенного (через третьих лиц) участия офшорных компаний в совокупности превышает 25 процентов (если иное не предусмотрено законодательством Российской Федерации), на дату не ранее чем за 30 календарных дней до даты подачи в Комитет заявки, заверенная подписью руководителя ГУП "Петербургский метрополитен" и оттиском печати (при наличии печати) (в свободной форме) (В редакции Постановления Правительства Санкт-Петербурга от 02.06.2023 г. N 554)
13. Справка ГУП "Петербургский метрополитен" об отсутствии просроченной задолженности по возврату в бюджет Санкт-Петербурга субсидии, бюджетных инвестиций, предоставленных в том числе в соответствии с иными правовыми актами, и иной просроченной (неурегулированной) задолженности по денежным обязательствам перед Санкт-Петербургом3 на дату не ранее чем за 30 календарных дней до даты подачи в Комитет заявки, заверенная подписью руководителя ГУП "Петербургский метрополитен" и оттиском печати (при наличии печати) (в свободной форме).
14. Справка ГУП "Петербургский метрополитен" об отсутствии информации в реестре недобросовестных поставщиков (подрядчиков, исполнителей), ведение которого осуществляется в соответствии с Федеральным законом "О контрактной системе в сфере закупок товаров, работ, услуг для обеспечения государственных и муниципальных нужд", заверенная подписью руководителя ГУП "Петербургский метрополитен" и оттиском печати (при наличии печати) (в свободной форме) (в отношении субсидий, предоставляемых в 2023 и 2024 годах). (В редакции Постановления Правительства Санкт-Петербурга от 15.09.2022 г. N 833)
15. Обязательство ГУП "Петербургский метрополитен" о неприобретении ГУП "Петербургский метрополитен" за счет средств субсидии иностранной валюты, за исключением операций, осуществляемых в соответствии с валютным законодательством Российской Федерации при закупке (поставке) высокотехнологичного импортного оборудования, сырья и комплектующих изделий, а также товаров, работ и услуг, приобретаемых получателем субсидии по затратам, указанным в пункте 3 Порядка предоставления в 2022-2024 годах субсидии Санкт-Петербургскому государственному унитарному предприятию "Петербургский метрополитен" на увеличение уставного фонда, утвержденного настоящим постановлением (далее - Порядок), у поставщиков (исполнителей), относящихся к нерезидентам в соответствии с Федеральным законом "О валютном регулировании и валютном контроле", с учетом запретов и ограничений, устанавливаемых в рамках мер по противодействию внешнему санкционному давлению, заверенное подписью руководителя ГУП "Петербургский метрополитен" и оттиском печати (при наличии печати) (в свободной форме).
16. Обязательство ГУП "Петербургский метрополитен" предоставить обязательства от контрагентов - юридических лиц о неприобретении контрагентами - юридическими лицами за счет полученных средств иностранной валюты, за исключением операций, осуществляемых в соответствии с валютным законодательством Российской Федерации при закупке (поставке) высокотехнологичного импортного оборудования, сырья и комплектующих изделий, а также товаров, работ и услуг, приобретаемых контрагентами - юридическими лицами по затратам, указанным в пункте 3 Порядка, у поставщиков (исполнителей), относящихся к нерезидентам в соответствии с Федеральным законом "О валютном регулировании и валютном контроле", заверенное подписью руководителя ГУП "Петербургский метрополитен" и оттиском печати (при наличии печати) (в свободной форме).
17. Обязательство ГУП "Петербургский метрополитен" по возврату в бюджет Санкт-Петербурга остатка субсидии, не использованного в отчетном финансовом году, в срок, установленный Комитетом, заверенное подписью руководителя ГУП "Петербургский метрополитен" и оттиском печати (при наличии печати) (в свободной форме).
18. Обязательство ГУП "Петербургский метрополитен" о достижении результата предоставления субсидии, заверенное подписью руководителя ГУП "Петербургский метрополитен" и оттиском печати (при наличии печати) (в свободной форме) (В редакции Постановления Правительства Санкт-Петербурга от 02.06.2023 г. N 554)
19. Согласие на обработку персональных данных руководителя ГУП "Петербургский метрополитен" по форме, установленной Комитетом.
20. Согласие на обработку персональных данных главного бухгалтера ГУП "Петербургский метрополитен" по форме, установленной Комитетом.
21. Согласие на обработку персональных данных членов коллегиального исполнительного органа ГУП "Петербургский метрополитен" по форме, установленной Комитетом (при их наличии).
22. Согласие на обработку персональных данных лица, исполняющего функции единоличного исполнительного органа ГУП "Петербургский метрополитен", по форме, установленной Комитетом (при его наличии).
23. Согласие на обработку персональных данных лица, действующего от имени ГУП "Петербургский метрополитен" на основании доверенности, или иного документа, предусмотренного в пункте 4 статьи 185 Гражданского кодекса Российской Федерации, подтверждающего соответствующие полномочия (в случае подачи заявки и прилагаемых к ней документов в Комитет указанным лицом).
24. Справка ГУП "Петербургский метрополитен" об отсутствии в реестре недобросовестных поставщиков (подрядчиков, исполнителей) в связи с отказом от исполнения заключенных государственных (муниципальных) контрактов о поставке товаров, выполнении работ, оказании услуг по причине введения политических или экономических санкций иностранными государствами, совершающими недружественные действия в отношении Российской Федерации, граждан Российской Федерации или российских юридических лиц, и (или) введением иностранными государствами, государственными объединениями и (или) союзами и (или) государственными (межгосударственными) учреждениями иностранных государств или государственных объединений и (или) союзов мер ограничительного характера (в свободной форме) (в отношении субсидии, предоставляемой в 2022 году. (В редакции Постановления Правительства Санкт-Петербурга от 15.09.2022 г. N 833)
25. Справка ГУП "Петербургский метрополитен" об отсутствии в перечне организаций и физических лиц, в отношении которых имеются сведения об их причастности к экстремистской деятельности или терроризму, либо в перечне организаций и физических лиц, в отношении которых имеются сведения об их причастности к распространению оружия массового уничтожения на дату не ранее чем за 30 календарных дней до даты подачи в Комитет заявки, заверенная подписью руководителя ГУП "Петербургский метрополитен" и оттиском печати (при наличии печати) (в свободной форме). (В редакции Постановления Правительства Санкт-Петербурга от 15.09.2022 г. N 833)
____________________
1 За исключением государственных (муниципальных) унитарных предприятий, хозяйственных товариществ и обществ с участием публично-правовых образований в их уставных (складочных) капиталах, а также коммерческих организаций с участием таких товариществ и обществ в их уставных (складочных) капиталах.
2 За исключением реорганизации в форме присоединения к ГУП "Петербургский метрополитен" другого юридического лица.
3 За исключением субсидий в целях возмещения недополученных доходов, субсидий в целях финансового обеспечения или возмещения затрат, связанных с поставкой товаров (выполнением работ, оказанием услуг) ГУП "Петербургский метрополитен" физическим лицам.
