Постановление Правительства Санкт-Петербурга от 14.12.2021 N 982 "О региональном государственном контроле (надзоре) в области обращения с животными в Санкт-Петербурге"
ПРАВИТЕЛЬСТВО САНКТ-ПЕТЕРБУРГА
ПОСТАНОВЛЕНИЕ
14.12.2021 | N 982 |
О региональном государственном контроле
(надзоре) в области обращения с животными
в Санкт-Петербурге
(В редакции Постановления Правительства Санкт-Петербурга от 28.02.2022 г. N 155)
В соответствии с пунктом 3 части 1 статьи 7 и статьей 19 Федерального закона "Об ответственном обращении с животными и о внесении изменений в отдельные законодательные акты Российской Федерации", пунктом 3 части 2 статьи 3 Федерального закона "О государственном контроле (надзоре) и муниципальном контроле в Российской Федерации" Правительство Санкт-Петербурга
ПОСТАНОВЛЯЕТ:
1. Утвердить Положение о региональном государственном контроле (надзоре) в области обращения с животными в Санкт-Петербурге.
2. Утвердить перечень индикаторов риска нарушения обязательных требований по региональному государственному контролю (надзору) в области обращения с животными в Санкт-Петербурге согласно приложению N 1. (В редакции Постановления Правительства Санкт-Петербурга от 28.02.2022 г. N 155)
2-1. Утвердить ключевые показатели регионального государственного контроля (надзора) в области обращения с животными в Санкт-Петербурге и их целевые значения согласно приложению N 2. (Дополнен - Постановление Правительства Санкт-Петербурга от 28.02.2022 г. N 155)
2-2. Утвердить индикативные показатели регионального государственного контроля (надзора) в области обращения с животными в Санкт-Петербурге согласно приложению N 3
(Дополнен - Постановление Правительства Санкт-Петербурга от 28.02.2022 г. N 155)
3. Внести в постановление Правительства Санкт-Петербурга от 28.04.2004 N 653 "Об Управлении ветеринарии Санкт-Петербурга" следующие изменения:
3.1. В пункте 2 постановления слова "Косткину Л.А." заменить словами "Эргашева О.Н.".
3.2. Пункт 1.6-1 Положения об Управлении ветеринарии Санкт-Петербурга, утвержденного указанным постановлением (далее - Положение), исключить.
3.3. Пункт 2.2-1 Положения изложить в следующей редакции:
"2.2-1. Осуществление государственного контроля (надзора) в пределах компетенции Управления".
3.4. Пункт 3.19-3 Положения изложить в следующей редакции:
"3.19-3. Осуществлять региональный государственный контроль (надзор) в области обращения с животными в Санкт-Петербурге".
3.5. Пункт 3.24-1 Положения изложить в следующей редакции:
"3.24-1. Утверждать перечень должностных лиц Управления, имеющих право составлять протоколы об административных правонарушениях".
4. Внести изменение в постановление Правительства Санкт-Петербурга от 01.02.2021 N 40 "Об утверждении Порядка организации и осуществления исполнительными органами государственной власти Санкт-Петербурга государственного надзора в области обращения с животными в Санкт-Петербурге, внесении изменений в постановления Правительства Санкт-Петербурга от 28.04.2004 N 653, от 08.11.2018 N 866, от 31.12.2019 N 1033 и признании утратившими силу отдельных постановлений Правительства Санкт-Петербурга", исключив пункт 1 постановления и приложение к постановлению.
5. Внести изменение в постановление Правительства Санкт-Петербурга от 14.04.2021 N 202 "Об организации деятельности приютов для животных в Санкт-Петербурге", заменив в пункте 10.3 приложения N 1 к постановлению слова "органов государственного надзора в области обращения с животными" словами "исполнительного органа государственной власти Санкт-Петербурга, уполномоченного на осуществление регионального государственного контроля (надзора) в области обращения с животными в Санкт-Петербурге,".
6. Постановление вступает в силу с 01.01.2022.
7. Контроль за выполнением постановления возложить на вице-губернатора Санкт-Петербурга Эргашева О.Н.
Губернатор Санкт-Петербурга |
А.Д.Беглов |
УТВЕРЖДЕНО
постановлением
Правительства Санкт-Петербурга
от 14.12.2021 N 982
Положение
о региональном государственном контроле (надзоре) в области обращения с животными в Санкт-Петербурге
1. Общие положения
1.1. Настоящее Положение, разработанное в соответствии с Федеральным законом "О государственном контроле (надзоре) и муниципальном контроле в Российской Федерации" (далее - Федеральный закон N 248-ФЗ), пунктом 3 части 1 статьи 7, статьей 19 Федерального закона "Об ответственном обращении с животными и о внесении изменений в отдельные законодательные акты Российской Федерации" (далее - Федеральный закон N 498-ФЗ), устанавливает порядок организации и осуществления регионального государственного контроля (надзора) в области обращения с животными в Санкт-Петербурге (далее - государственный контроль).
1.2. Предметом государственного контроля являются:
соблюдение юридическими лицами, индивидуальными предпринимателями и гражданами (далее - контролируемые лица) обязательных требований в области обращения с животными, установленных Федеральным законом N 498-ФЗ и принимаемыми в соответствии с ним иными нормативными правовыми актами Российской Федерации, законами и иными нормативными правовыми актами Санкт-Петербурга, при содержании и использовании животных, ином обращении с животными, осуществлении деятельности по обращению с животными без владельцев, при осуществлении деятельности приютов для животных, в том числе соблюдение норм содержания животных в них, за исключением случаев, установленных в части 2 статьи 19 Федерального закона N 498-ФЗ (далее - обязательные требования);
исполнение решений, принимаемых по результатам контрольных (надзорных) мероприятий.
1.3. Государственный контроль осуществляется Управлением ветеринарии Санкт-Петербурга (далее - Управление).
1.4. От имени Управления государственный контроль вправе осуществлять следующие должностные лица (далее - инспекторы):
начальник Управления;
начальник, заместитель начальника, главные и ведущие специалисты, специалисты 1-й категории отдела государственного надзора в области обращения с животными Управления.
1.5. Должностным лицом Управления, уполномоченным принимать решения о проведении контрольных (надзорных) мероприятий, является начальник Управления.
1.6. При проведении профилактических мероприятий и контрольных (надзорных) мероприятий полномочия по осуществлению государственного контроля осуществляют инспекторы, которые уполномочены на проведение соответствующего мероприятия решением Управления.
Инспекторы при проведении контрольных (надзорных) мероприятий в пределах своих полномочий и в объеме проводимых контрольных (надзорных) действий осуществляют права и выполняют обязанности, установленные в статье 29 Федерального закона N 248-ФЗ, а также пользуются правами, установленными в частях 5 и 6 статьи 19 Федерального закона N 498-ФЗ.
1.7. Объектами государственного контроля (далее - объекты контроля) являются:
деятельность, действия (бездействие) контролируемых лиц, в рамках которых должны соблюдаться обязательные требования, в том числе предъявляемые к контролируемым лицам, осуществляющим деятельность, действия (бездействие);
здания, помещения, сооружения, территории, оборудование, устройства, предметы, материалы, транспортные средства и другие объекты, которыми контролируемые лица владеют и(или) пользуются, к которым предъявляются обязательные требования (далее - производственные объекты).
1.8. Учет объектов контроля обеспечивается Управлением путем использования государственной информационной системы "Типовое облачное решение по автоматизации контрольной (надзорной) деятельности".
2. Управление рисками причинения вреда (ущерба) охраняемым законом ценностям при осуществлении государственного контроля
2.1. Государственный контроль осуществляется Управлением на основе управления рисками причинения вреда (ущерба) охраняемым законом ценностям.
2.2. Управление относит объекты контроля к одной из следующих категорий риска причинения вреда (ущерба) охраняемым законом ценностям:
средний риск;
умеренный риск;
низкий риск.
2.3. Критерии отнесения объектов контроля к категориям риска причинения вреда (ущерба) охраняемым законом ценностям приведены в приложении к настоящему Положению.
2.4. Перечень индикаторов риска нарушения обязательных требований по государственному контролю утвержден настоящим постановлением.
3. Профилактика рисков причинения вреда (ущерба)
охраняемым законом ценностям
3.1. Профилактические мероприятия, проводимые
при осуществлении государственного контроля
При осуществлении государственного контроля Управление проводит следующие профилактические мероприятия:
информирование;
обобщение правоприменительной практики;
объявление предостережения;
консультирование;
самообследование;
профилактический визит.
3.2. Информирование
Информирование контролируемых лиц и иных заинтересованных лиц по вопросам соблюдения обязательных требований осуществляется Управлением посредством размещения соответствующих сведений на веб-странице Управления на официальном сайте Администрации Санкт-Петербурга в информационно-телекоммуникационной сети "Интернет" (далее - официальный сайт Администрации Санкт-Петербурга) и в средствах массовой информации, а также в иных формах.
3.3. Обобщение правоприменительной практики
Управление ежегодно подготавливает доклад, содержащий результаты обобщения правоприменительной практики Управления по осуществлению государственного контроля (далее - доклад о правоприменительной практике).
Доклад о правоприменительной практике размещается на официальном сайте Администрации Санкт-Петербурга не позднее 20 февраля года, следующего за отчетным годом.
3.4. Объявление предостережения
3.4.1. В случае объявления Управлением контролируемому лицу предостережения о недопустимости нарушения обязательных требований (далее также - предостережение) контролируемое лицо вправе подать в отношении этого предостережения возражение.
3.4.2. Возражение на предостережение должно содержать:
полное наименование юридического лица - контролируемого лица, фамилию, имя, отчество (при наличии) индивидуального предпринимателя (гражданина) - контролируемого лица;
идентификационный номер налогоплательщика - контролируемого лица;
адрес места нахождения и осуществления деятельности контролируемого лица;
наименование Управления, дату и номер предостережения, направленного в адрес контролируемого лица;
позицию контролируемого лица о несогласии с тем, что его действия (бездействие) могут привести или приводят к нарушению обязательных требований, и(или) о несогласии с предложенными в предостережении мерами по обеспечению соблюдения обязательных требований;
обоснование позиции контролируемого лица.
К возражению могут быть приложены документы, подтверждающие обоснование позиции контролируемого лица.
3.4.3. Возражение на предостережение может быть подано в течение 30 календарных дней со дня получения предостережения.
Возражение юридического лица на предостережение подается в электронном виде и должно быть подписано простой электронной подписью.
Возражение индивидуального предпринимателя на предостережение подается в электронном виде и должно быть подписано простой электронной подписью.
Возражение гражданина, не осуществляющего предпринимательской деятельности, на предостережение подается на бумажном носителе или в электронном виде и должно быть подписано соответственно собственноручно либо простой электронной подписью.
Возражения на предостережения в электронном виде подаются по адресу электронной почты Управления, указанному в предостережении. Возражения на предостережения на бумажном носителе подаются лично или почтовым отправлением в адрес Управления.
Возражения на предостережения, поданные с нарушением условий, предусмотренных настоящим Положением, но соответствующие требованиям, предъявляемым к обращениям граждан и организаций, установленным Федеральным законом "О порядке рассмотрения обращений граждан Российской Федерации", рассматриваются в порядке, предусмотренном указанным Федеральным законом.
3.4.4. Возражения на предостережения рассматриваются Управлением.
Управление по результатам рассмотрения возражений на предостережения:
направляет контролируемому лицу ответ об отклонении его возражения на предостережение, если Управление придет к выводу о необоснованности позиции контролируемого лица. В ответе должно содержаться обоснование отклонения возражения контролируемого лица на предостережение;
направляет контролируемому лицу ответ об отзыве предостережения полностью или частично, если Управление придет к выводу об обоснованности позиции контролируемого лица. Если предостережение отзывается частично, в ответе должно быть указано, в части каких (какого) действий (бездействия) контролируемого лица и(или) предложенных мер по обеспечению соблюдения обязательных требований отзывается предостережение, а в остальной части должно содержаться обоснование отклонения возражения контролируемого лица на предостережение.
Ответ контролируемому лицу по результатам рассмотрения возражения на предостережение должен быть направлен Управлением в течение 30 календарных дней со дня его поступления.
3.5. Консультирование
3.5.1. Инспекторы осуществляют консультирование:
по телефону - в часы работы Управления по вопросам сообщения контролируемым лицам контактных данных Управления, графика его работы, досудебного порядка подачи и рассмотрения жалоб контролируемых лиц;
посредством видео-конференц-связи - при наличии технической возможности в дни, часы и по вопросам, которые определены начальником Управления. Вопросы, по которым проводится консультирование посредством видео-конференц-связи, и время его осуществления анонсируются на официальном сайте Администрации Санкт-Петербурга не позднее чем за пять рабочих дней до дня проведения консультирования посредством видео-конференц-связи;
на личном приеме - в соответствии с графиком личного приема граждан в соответствии со статьей 13 Федерального закона "О порядке рассмотрения обращений граждан Российской Федерации" по вопросам, указанным в настоящем пункте, и по вопросам проведения в отношении контролируемого лица профилактических мероприятий, контрольных (надзорных) мероприятий;
в ходе проведения профилактических визитов, контрольных (надзорных) мероприятий - при взаимодействии инспекторов с контролируемыми лицами и их представителями по вопросам проведения в отношении контролируемого лица соответствующего мероприятия;
в ходе публичного обсуждения проекта доклада о правоприменительной практике - при взаимодействии инспекторов с контролируемыми лицами и их представителями в рамках публичного обсуждения проекта доклада о правоприменительной практике по любым вопросам, связанным с соблюдением обязательных требований, осуществлением государственного контроля;
при направлении контролируемыми лицами в письменной форме или в форме электронного документа запросов о предоставлении письменных ответов - в порядке, установленном Федеральным законом "О порядке рассмотрения обращений граждан Российской Федерации", по любым вопросам, связанным с соблюдением обязательных требований, осуществлением государственного контроля.
3.5.2. По итогам консультирования информация в письменной форме представляется контролируемым лицам и их представителям только в случаях и по вопросам, которые предусмотрены в абзаце седьмом пункта 3.5.1 настоящего Положения.
В случае поступления трех или более однотипных обращений контролируемых лиц и их представителей, имеющих значение для неопределенного круга контролируемых лиц, Управление подготавливает письменное разъяснение, которое подписывается начальником Управления и размещается на официальном сайте Администрации Санкт-Петербурга.
3.6. Самообследование
В целях добровольного определения уровня соблюдения обязательных требований контролируемые лица, которые владеют и(или) пользуются производственными объектами, к которым предъявляются обязательные требования, вправе осуществлять самостоятельную оценку соблюдения обязательных требований (самообследование) в автоматизированном режиме с использованием одного из способов, указанных на официальном сайте Администрации Санкт-Петербурга.
Контролируемые лица, получившие высокую оценку соблюдения ими обязательных требований, по итогам самообследования вправе принять декларацию соблюдения обязательных требований (далее - декларация).
Декларация направляется контролируемым лицом в Управление, которое осуществляет ее регистрацию и размещает на официальном сайте Администрации Санкт-Петербурга.
Срок действия декларации составляет два года со дня ее регистрации Управлением.
В случае аннулирования декларации по решению Управления контролируемое лицо может вновь принять декларацию по результатам самообследования не ранее чем по истечении одного года со дня принятия решения о ее аннулировании.
3.7. Обязательные профилактические визиты
3.7.1. Обязательный профилактический визит проводится в отношении контролируемых лиц, приступающих к осуществлению деятельности, являющейся объектом государственного контроля.
Управление обязано предложить проведение профилактического визита лицам, приступающим к осуществлению деятельности, являющейся объектом государственного контроля, не позднее чем в течение одного года с момента начала такой деятельности.
3.7.2. В целях обеспечения проведения обязательных профилактических визитов контролируемым лицам направляются уведомления о проведении обязательных профилактических визитов (далее - уведомления). В уведомлении указываются:
полное наименование юридического лица - контролируемого лица, фамилия, имя и отчество (при наличии) индивидуального предпринимателя (гражданина) - контролируемого лица;
наименование Управления и наименование государственного контроля;
цель проведения обязательного профилактического визита;
наименование должности, фамилия и инициалы инспектора, которому поручается проведение обязательного профилактического визита;
предлагаемые дата и время проведения обязательного профилактического визита;
форма проведения обязательного профилактического визита (профилактическая беседа по месту осуществления деятельности контролируемого лица или путем использования видео-конференц-связи);
разъяснение права отказаться от проведения обязательного профилактического визита.
Уведомления подписываются начальником Управления.
3.7.3. Обязательный профилактический визит проводится в течение одного рабочего дня в присутствии контролируемого лица и(или) его представителя.
Если в день проведения обязательного профилактического визита, проводимого в форме профилактической беседы по месту осуществления деятельности контролируемого лица, контролируемое лицо и(или) его представители отсутствуют по месту проведения обязательного профилактического визита, обязательный профилактический визит переносится на иную дату.
Если проведение обязательного профилактического визита, проводимого путем использования видео-конференц-связи, в установленный день оказалось невозможным по техническим или иным причинам, обязательный профилактический визит переносится на иную дату.
При переносе обязательного профилактического визита контролируемому лицу направляются повторные уведомления.
3.7.4. По результатам обязательного профилактического визита инспектором, его проводившим, составляется и подписывается отчет, содержащий следующие сведения:
дата, время, форма проведения обязательного профилактического визита;
полное наименование юридического лица - контролируемого лица, фамилия, имя и отчество (при наличии) индивидуального предпринимателя (гражданина) - контролируемого лица, в отношении которых проведен обязательный профилактический визит;
фамилия, имя и отчество (при наличии) представителя контролируемого лица, присутствовавшего при проведении обязательного профилактического визита;
наименование должности, фамилия и инициалы инспектора, проводившего обязательный профилактический визит;
рекомендованные контролируемому лицу способы снижения категории риска причинения вреда (ущерба) охраняемым законом ценностям (если такие способы были рекомендованы);
сведения, необходимые для отнесения объектов государственного контроля к категориям риска причинения вреда (ущерба) охраняемым законом ценностям (при их сборе инспектором).
3.7.5. В один отчет о проведении обязательных профилактических визитов могут включаться сведения о проведении нескольких обязательных профилактических визитов.
Отчет о проведении обязательных профилактических визитов составляется в течение трех рабочих дней со дня проведения обязательного профилактического визита.
4. Контрольные (надзорные) мероприятия, проводимые
при осуществлении государственного контроля
4.1. Общие положения
4.1.1. При осуществлении государственного контроля проводятся следующие виды контрольных (надзорных) мероприятий, предусматривающие взаимодействие с контролируемыми лицами:
инспекционный визит;
рейдовый осмотр;
документарная проверка;
выездная проверка.
4.1.2. При осуществлении государственного контроля проводятся следующие виды плановых контрольных (надзорных) мероприятий:
документарная проверка;
выездная проверка.
4.1.3. Плановые контрольные (надзорные) мероприятия проводятся со следующей периодичностью:
для объектов государственного контроля, отнесенных к категории среднего риска, - один раз в четыре года;
для объектов государственного контроля, отнесенных к категории умеренного риска, - один раз в пять лет;
для объектов государственного контроля, отнесенных к категории низкого риска, плановые контрольные (надзорные) мероприятия не проводятся.
4.1.4. При осуществлении государственного контроля проводятся следующие виды внеплановых контрольных (надзорных) мероприятий:
инспекционный визит;
рейдовый осмотр;
документарная проверка;
выездная проверка.
4.1.5. В случаях, предусмотренных в пункте 1 части 1 статьи 57 Федерального закона N 248-ФЗ, проводятся:
инспекционный визит;
рейдовый осмотр;
документарная проверка;
выездная проверка.
Виды внеплановых контрольных (надзорных) мероприятий, проводимых по основаниям, предусмотренным в пунктах 3 и 4 части 1 статьи 57 Федерального закона N 248-ФЗ, определяются поручением Президента Российской Федерации, поручением Правительства Российской Федерации, требованием прокурора. Если эти виды не определены поручением Президента Российской Федерации или поручением Правительства Российской Федерации, проводится документарная проверка или выездная проверка.
В случаях, предусмотренных в пункте 5 части 1 статьи 57 Федерального закона N 248-ФЗ, проводятся инспекционный визит, документарная проверка или выездная проверка.
4.1.6. Содержание внеплановых контрольных (надзорных) мероприятий определяется:
в случаях, предусмотренных в пункте 1 части 1 статьи 57 Федерального закона N 248-ФЗ, - содержанием обращений (заявлений) граждан и организаций, информации от органов государственной власти, органов местного самоуправления, из средств массовой информации, содержанием сведений, полученных Управлением иными способами, предусмотренными Федеральным законом N 248-ФЗ, содержанием сведений об отклонении объекта государственного контроля от параметров, утвержденных индикаторами риска нарушения обязательных требований, или о его соответствии таким параметрам;
в случаях, предусмотренных в пунктах 3 и 4 части 1 статьи 57 Федерального закона N 248-ФЗ, - содержанием поручения Президента Российской Федерации, поручения Правительства Российской Федерации, требования прокурора;
в случаях, предусмотренных в пункте 5 части 1 статьи 57 Федерального закона N 248-ФЗ, - содержанием предписания контрольного (надзорного) органа об устранении выявленных нарушений обязательных требований.
4.2. Контрольные (надзорные) действия, совершаемые
в рамках контрольных (надзорных) мероприятий
4.2.1. В ходе инспекционного визита могут совершаться следующие контрольные (надзорные) действия:
осмотр;
опрос;
получение письменных объяснений;
инструментальное обследование;
истребование документов, которые в соответствии с обязательными требованиями должны находиться в месте нахождения (осуществления деятельности) контролируемого лица (его филиалов, представительств, обособленных структурных подразделений) либо объекта государственного контроля.
4.2.2. В ходе рейдового осмотра могут совершаться следующие контрольные (надзорные) действия:
осмотр;
досмотр;
опрос;
получение письменных объяснений;
истребование документов;
инструментальное обследование.
4.2.3. В ходе документарной проверки могут совершаться следующие контрольные (надзорные) действия:
получение письменных объяснений;
истребование документов.
4.2.4. В ходе выездной проверки могут совершаться следующие контрольные (надзорные) действия:
осмотр;
досмотр;
опрос;
получение письменных объяснений;
истребование документов;
инструментальное обследование.
4.3. Требования к отдельным контрольным (надзорным)
мероприятиям и контрольным (надзорным) действиям
4.3.1. Срок проведения выездной проверки составляет не более 10 рабочих дней. В отношении одного субъекта малого предпринимательства общий срок взаимодействия в ходе проведения выездной проверки составляет не более 50 часов для малого предприятия и 15 часов для микропредприятия.
4.3.2. Индивидуальный предприниматель, гражданин, являющиеся контролируемыми лицами, вправе представить в Управление информацию о невозможности присутствия при проведении контрольного (надзорного) мероприятия в следующих случаях:
временная нетрудоспособность;
нахождение в служебной командировке или отпуске в ином населенном пункте;
административный арест;
избрание меры пресечения в виде подписки о невыезде и надлежащем поведении или запрета определенных действий, препятствующих присутствию при проведении контрольного (надзорного) мероприятия, а также в виде заключения под стражу или домашнего ареста;
смерть близких родственников, подтвержденная документально.
В указанных случаях Управление принимает решение об отмене прежнего решения о проведении контрольного (надзорного) мероприятия и о проведении контрольного (надзорного) мероприятия в иной срок с учетом необходимости устранения обстоятельств, послуживших поводом для указанного в настоящем пункте обращения индивидуального предпринимателя, гражданина.
4.3.3. При проведении инспекционного визита, рейдового осмотра и выездной проверки в целях фиксации контрольных (надзорных) действий, доказательств нарушений обязательных требований инспекторами могут использоваться фотосъемка, аудио- и видеозапись.
При использовании фотосъемки, аудио- и видеозаписи должна обеспечиваться фиксация даты, времени и места их использования. При использовании фотосъемки и видеозаписи осуществляются ориентирующая, обзорная, узловая и детальная фотосъемка и видеозапись.
Фиксация нарушений обязательных требований при помощи фотосъемки проводится не менее чем двумя снимками каждого из выявленных нарушений обязательных требований. Аудио- и видеозапись осуществляется в ходе проведения контрольного (надзорного) мероприятия непрерывно (с уведомлением в начале записи и конце записи о дате, месте, времени начала и окончания осуществления записи). В ходе указанной записи подробно фиксируются и указываются место и характер выявленного нарушения обязательных требований.
Фотографии, аудио- и видеозаписи, используемые для фиксации доказательств нарушений обязательных требований, должны позволять однозначно идентифицировать объект фиксации, отражающий нарушение обязательных требований. Фотографии, аудио- и видеозаписи, используемые для фиксации доказательств нарушений обязательных требований, приобщаются к акту контрольного (надзорного) мероприятия.
Использование фотосъемки и видеозаписи для фиксации доказательств нарушений обязательных требований осуществляется с учетом требований законодательства Российской Федерации о защите государственной тайны.
4.3.4. Досмотр осуществляется инспектором в присутствии контролируемого лица или его представителя и(или) с применением видеозаписи. Досмотр в отсутствие контролируемого лица или его представителя может осуществляться в случаях наличия у инспектора сведений, объективных данных о причинении вреда либо об угрозе причинения вреда жизни, здоровью животного, находящегося в обследуемом объекте, с обязательным применением видеозаписи.
5. Досудебное обжалование решений контрольного (надзорного)
органа и действий (бездействия) его должностных лиц
5.1. Контролируемые лица, в отношении которых приняты решения Управления или совершены действия (бездействие) должностными лицами Управления, указанные в части 4 статьи 40 Федерального закона N 248-ФЗ, имеют право на досудебное обжалование указанных решений Управления и(или) действий (бездействия) его должностных лиц в соответствии с Федеральным законом N 248-ФЗ.
5.2. Жалоба подается в Управление в электронном виде с использованием федеральной государственной информационной системы "Единый портал государственных и муниципальных услуг (функций)" и(или) портала "Государственные и муниципальные услуги (функции) в Санкт-Петербурге", за исключением случаев, указанных в пункте 5.3 настоящего Положения.
5.3. Подача в Управление жалобы, связанной со сведениями и документами, составляющими государственную или иную охраняемую законом тайну, осуществляется с соблюдением требований законодательства Российской Федерации о государственной и иной охраняемой законом тайне на бумажном носителе непосредственно или почтовым отправлением.
5.4. Жалобы на решения о проведении контрольных (надзорных) мероприятий, акты контрольных (надзорных) мероприятий и предписания об устранении выявленных нарушений обязательных требований, подписанные должностными лицами Управления, на действия (бездействие) должностных лиц Управления в рамках контрольных (надзорных) мероприятий (далее - жалобы) рассматриваются начальником Управления.
5.5. Жалоба подлежит рассмотрению начальником Управления в течение 20 рабочих дней со дня ее регистрации. Этот срок может быть продлен в следующих исключительных случаях:
при необходимости получения относящихся к предмету жалобы дополнительных документов, которые находятся в распоряжении государственных органов, органов местного самоуправления либо подведомственных им организаций;
при необходимости изучения материалов жалобы, требующих значительных временных затрат;
при проведении в отношении инспектора, решения, акты, предписания, действия (бездействие) которого обжалуются, служебной проверки по фактам, изложенным в жалобе;
при отсутствии инспектора, решения, акты, предписания, действия (бездействие) которого обжалуются, по уважительной причине (временная нетрудоспособность, отпуск, служебная командировка).
5.6. Рассмотрение жалоб, связанных со сведениями и документами, составляющими государственную или иную охраняемую законом тайну, осуществляется с соблюдением требований законодательства Российской Федерации о государственной тайне или иного законодательства, регулирующего защиту соответствующих сведений.
Приложение
к Положению о региональном
государственном контроле
(надзоре) в области обращения
с животными в Санкт-Петербурге
Критерии
отнесения объектов регионального государственного контроля (надзора) в области обращения с животными в Санкт-Петербурге к категориям риска причинения вреда (ущерба) охраняемым законом ценностям
N п/п | Категория риска причинения вреда (ущерба) охраняемым законом ценностям | Критерии отнесения объектов регионального государственного контроля (надзора) в области обращения с животными в Санкт-Петербурге к категориям риска причинения вреда (ущерба) охраняемым законом ценностям |
1 | 2 | 3 |
1 | Средний риск | Производственный объект, предназначенный для содержания единовременно 10 и более животных; Деятельность контролируемого лица по содержанию, использованию 10 и более животных единовременно |
2 | Умеренный риск | Производственный объект, предназначенный для содержания единовременно менее 10 животных; Деятельность контролируемого лица по содержанию, использованию менее 10 животных единовременно |
3 | Низкий риск | Объекты контроля в случае несоответствия их критериям отнесения объектов контроля к категориям среднего и умеренного риска причинения вреда (ущерба) охраняемым законом ценностям |
Примечание.
При наличии критериев, позволяющих отнести объект контроля к нескольким категориям риска, подлежит применению критерий, позволяющий отнести объект контроля к более высокой категории риска причинения вреда ущерба охраняемым законом ценностям.
Принятые сокращения:
объекты контроля - объекты регионального государственного контроля (надзора) в области обращения с животными в Санкт-Петербурге
производственные объекты - являющиеся объектами регионального государственного контроля (надзора) в области обращения с животными в Санкт-Петербурге здания, помещения, сооружения, территории, оборудование, устройства, предметы, материалы, транспортные средства и другие объекты, которыми юридические лица, индивидуальные предприниматели и граждане владеют и(или) пользуются, к которым предъявляются обязательные требования в области обращения с животными, установленные Федеральным законом "Об ответственном обращении с животными и о внесении изменений в отдельные законодательные акты Российской Федерации" и принимаемыми в соответствии с ним иными нормативными правовыми актами Российской Федерации, законами и иными нормативными актами Санкт-Петербурга, при содержании и использовании животных, ином обращении с животными, осуществлении деятельности приютов для животных, в том числе нормы содержания животных в них, за исключением случаев, установленных в части 2 статьи 19 указанного Федерального закона
Приложение N 1
к постановлению
Правительства Санкт-Петербурга
от 14.12.2021 N 982
(В редакции Постановления
Правительства Санкт-Петербурга
от 28.02.2022 г. N 155)
Перечень
индикаторов риска нарушения обязательных требований по региональному государственному контролю (надзору) в области обращения с животными в Санкт-Петербурге
1. Отсутствие в Федеральной государственной информационной системе в области ветеринарии сведений о движении животных в течение трех месяцев, если необходимость внесения таких сведений в указанную информационную систему предусмотрена в отношении объекта регионального государственного контроля (надзора) в области обращения с животными в Санкт-Петербурге (далее - объект контроля).
2. Отсутствие в Федеральной государственной информационной системе в области ветеринарии сведений о движении биологических отходов в течение трех месяцев, если необходимость внесения таких сведений в данную информационную систему предусмотрена в отношении объекта контроля.
3. Поступление в Управление ветеринарии Санкт-Петербурга (далее - Управление) сведений о несоблюдении юридическими лицами, индивидуальными предпринимателями и гражданами (далее - контролируемые лица) обязательных требований в области обращения с животными, установленных Федеральным законом "Об ответственном обращении с животными и о внесении изменений в отдельные законодательные акты Российской Федерации" (далее - Федеральный закон N 498-ФЗ) и принимаемыми в соответствии с ним иными нормативными правовыми актами Российской Федерации, законами и иными нормативными правовыми актами Санкт-Петербурга, при содержании и использовании животных, ином обращении с животными, осуществлении деятельности по обращению с животными без владельцев, при осуществлении деятельности приютов для животных, в том числе несоблюдении норм содержания животных в них, за исключением случаев, установленных в части 2 статьи 19 Федерального закона N 498-ФЗ (далее - обязательные требования), от трех и более лиц (граждан, организаций, органов государственной власти и органов местного самоуправления, средств массовой информации) в течение шести месяцев.
4. Непринятие мер по обеспечению соблюдения обязательных требований, предложенных Управлением в предостережении о недопустимости нарушения обязательных требований, в случае, если должностные лица Управления не согласились с доводами, изложенными контролируемым лицом в возражении на указанное предостережение.
Приложение N 2
к постановлению
Правительства Санкт-Петербурга
от 28.02.2022 N 155
Ключевые показатели регионального государственного контроля (надзора) в области обращения с животными в Санкт-Петербурге и их целевые значения
(Дополнено - Постановление Правительства Санкт-Петербурга от 28.02.2022 г. N 155)
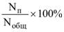
Доля животных, погибших вследствие жестокого обращения.
Целевым значением ключевого показателя является величина не более 5 процентов.
Формула расчета ключевого показателя:
,
где:
-
количество животных, погибших в результате жестокого обращения с ними
контролируемых лиц;
-
общее количество известных фактов обращения с животными, которые привели или
могли привести к гибели, увечью или иному вреду животным.
Приложение N 3
к постановлению
Правительства Санкт-Петербурга
от 28.02.2022 N 155
Индикативные показатели регионального государственного контроля (надзора) в области обращения с животными в Санкт-Петербурге
(Дополнено - Постановление Правительства Санкт-Петербурга от 28.02.2022 г. N 155)
1. Количество плановых контрольных (надзорных) мероприятий, проведенных за отчетный период.
2. Количество внеплановых контрольных (надзорных) мероприятий, проведенных за отчетный период.
3. Количество внеплановых контрольных (надзорных) мероприятий, проведенных на основании выявления соответствия объекта контроля параметрам, утвержденным индикаторами риска нарушения обязательных требований, или отклонения объекта контроля от таких параметров, за отчетный период.
4. Общее количество контрольных (надзорных) мероприятий с взаимодействием, проведенных за отчетный период.
5. Количество контрольных (надзорных) мероприятий с взаимодействием по каждому виду контрольных (надзорных) мероприятий, проведенных за отчетный период.
6. Количество контрольных (надзорных) мероприятий, проведенных с использованием средств дистанционного взаимодействия, за отчетный период.
7. Количество контрольных (надзорных) мероприятий без взаимодействия, проведенных за отчетный период.
8. Количество обязательных профилактических визитов, проведенных за отчетный период.
9. Количество предостережений о недопустимости нарушения обязательных требований, объявленных за отчетный период.
10. Количество контрольных (надзорных) мероприятий, по результатам которых выявлены нарушения обязательных требований, за отчетный период.
11. Количество контрольных (надзорных) мероприятий, по результатам которых установлены факты гибели животных в результате жестокого обращения с ними, за отчетный период.
12. Количество контрольных (надзорных) мероприятий, по результатам которых установлены факты обращения с животными, которые привели или могли привести к гибели, увечью или иному вреду здоровью животных.
13. Количество контрольных (надзорных) мероприятий, по итогам которых возбуждены дела об административных правонарушениях, за отчетный период.
14. Сумма административных штрафов, наложенных по результатам контрольных (надзорных) мероприятий, за отчетный период.
15. Количество направленных в органы прокуратуры заявлений о согласовании проведения контрольных (надзорных) мероприятий за отчетный период.
16. Количество направленных в органы прокуратуры заявлений о согласовании проведения контрольных (надзорных) мероприятий, по которым органами прокуратуры отказано в согласовании, за отчетный период.
17. Общее количество учтенных объектов контроля на конец отчетного периода.
18. Количество учтенных объектов контроля, отнесенных к категориям риска, по каждой из категорий риска, на конец отчетного периода.
19. Количество учтенных контролируемых лиц на конец отчетного периода.
20. Количество учтенных контролируемых лиц, в отношении которых проведены контрольные (надзорные) мероприятия, за отчетный период.
21. Количество животных, погибших в результате жестокого обращения с ними, установленное по результатам проведения контрольных (надзорных) мероприятий, за отчетный период.
22. Общее количество жалоб, поданных контролируемыми лицами в досудебном порядке, за отчетный период.
23. Количество жалоб, в отношении которых контрольным (надзорным) органом был нарушен срок рассмотрения, за отчетный период.
24. Количество жалоб, поданных контролируемыми лицами в досудебном порядке, по итогам рассмотрения которых принято решение о полной либо частичной отмене решения контрольного (надзорного) органа либо о признании действий (бездействия) должностных лиц контрольных (надзорных) органов недействительными, за отчетный период.
25. Количество исковых заявлений об оспаривании решений, действий (бездействия) должностных лиц контрольных (надзорных) органов, направленных контролируемыми лицами в судебном порядке, за отчетный период.
26. Количество исковых заявлений об оспаривании решений, действий (бездействия) должностных лиц контрольных (надзорных) органов, направленных контролируемыми лицами в судебном порядке, по которым принято решение об удовлетворении заявленных требований, за отчетный период.
27. Количество контрольных (надзорных) мероприятий, проведенных с грубым нарушением требований к организации и осуществлению государственного контроля (надзора) и результаты которых были признаны недействительными и (или) отменены, за отчетный период.
