Постановление Правительства Санкт-Петербурга от 28.08.2018 N 679 "О Порядке предоставления в 2018 году субсидий общественным объединениям в соответствии с Законом Санкт-Петербурга "О грантах Санкт-Петербурга для общественных объединений" в целях возмещения затрат при реализации проектов общественных объединений и внесении изменений в постановление Правительства Санкт-Петербурга от 16.09.2013 N 706"
ПРАВИТЕЛЬСТВО САНКТ-ПЕТЕРБУРГА
ПОСТАНОВЛЕНИЕ
28.08.2018 | N 679 |
О Порядке предоставления в 2018 году
субсидий общественным объединениям
в соответствии с Законом Санкт-Петербурга
"О грантах Санкт-Петербурга для общественных
объединений" в целях возмещения затрат
при реализации проектов общественных
объединений и внесении изменений
в постановление Правительства Санкт-Петербурга
от 16.09.2013 N 706
В соответствии с Бюджетным кодексом Российской Федерации, Законом Санкт-Петербурга от 10.10.2001 N 697-85 "О грантах Санкт-Петербурга для общественных объединений", Законом Санкт-Петербурга от 29.11.2017 N 801-131 "О бюджете Санкт-Петербурга на 2018 год и на плановый период 2019 и 2020 годов" и постановлением Правительства Санкт-Петербурга от 23.06.2014 N 497 "О государственной программе Санкт-Петербурга "Социальная поддержка граждан в Санкт-Петербурге" Правительство Санкт-Петербурга
ПОСТАНОВЛЯЕТ:
1. Утвердить Порядок предоставления в 2018 году субсидий общественным объединениям в соответствии с Законом Санкт-Петербурга "О грантах Санкт-Петербурга для общественных объединений" в целях возмещения затрат при реализации проектов общественных объединений (далее - Порядок) согласно приложению.
2. Комитету по молодежной политике и взаимодействию с общественными организациями (далее - Комитет) в месячный срок в целях реализации Порядка утвердить:
форму и порядок представления заявления на участие в конкурсном отборе на право получения в 2018 году субсидий в соответствии с Порядком (далее - субсидии);
перечень документов и материалов, представляемых для участия в конкурсном отборе на право получения в 2018 году субсидий (далее - конкурсный отбор), прилагаемых к заявлению на участие в конкурсном отборе (далее - заявление);
форму журнала приема заявлений;
положение о рабочей группе по проверке заявлений и документов, представляемых в Комитет для участия в конкурсном отборе (далее - рабочая группа), ее состав, порядок и сроки проведения проверки рабочей группой заявлений и документов;
порядок, сроки и формы представления отчетности об использовании субсидий, а также о достижении показателей результативности предоставления субсидий в соответствии с Порядком;
порядок рассмотрения Конкурсной комиссией по предоставлению грантов Санкт-Петербурга для общественных объединений, созданной постановлением Правительства Санкт-Петербурга от 16.09.2013 N 706 (далее - Конкурсная комиссия), заявлений и документов претендентов на получение в 2018 году субсидий, порядок принятия решения о допуске (недопуске) к участию в конкурсном отборе, порядок проведения конкурсного отбора, порядок оценки конкурсной комиссией заявлений и документов и расчета баллов;
порядок расчета показателей результативности предоставления субсидий;
срок проведения Комитетом обязательных проверок соблюдения получателями субсидий условий, целей и порядка предоставления субсидий.
3. Внести в постановление Правительства Санкт-Петербурга от 16.09.2013 N 706 "О Конкурсной комиссии по предоставлению грантов Санкт-Петербурга для общественных объединений" (далее - постановление) следующие изменения:
3.1. Включить в состав Конкурсной комиссии, утвержденный указанным постановлением, в качестве членов Конкурсной комиссии следующих лиц:
Кежаева Марина Васильевна - вице-президент региональной общественной организации "Федерация гребного спорта Санкт-Петербурга" (по согласованию)
Крылова Кристина Юрьевна - заместитель председателя Комитета по молодежной политике и взаимодействию с общественными организациями
Третьяков Никита Александрович - руководитель комиссии по развитию проектной деятельности и поддержке молодежных инициатив Молодежной коллегии Санкт-Петербурга (по согласованию).
3.2. Включить в состав Конкурсной комиссии в качестве секретаря Конкурсной комиссии Кутьину Яну Юрьевну - ведущего специалиста отдела поддержки и развития некоммерческих организаций Комитета по молодежной политике и взаимодействию с общественными организациями.
3.3. Исключить из состава Конкурсной комиссии Омарова И.О.
4. Контроль за выполнением постановления возложить на вице-губернатора Санкт-Петербурга Серова К.Н.
Губернатор Санкт-Петербурга |
Г.С.Полтавченко |
Приложение
к постановлению
Правительства Санкт-Петербурга
от 28.08.2018 N 679
Порядок
предоставления в 2018 году субсидий общественным объединениям
в соответствии с Законом Санкт-Петербурга "О грантах Санкт-Петербурга
для общественных объединений" в целях возмещения затрат
при реализации проектов общественных объединений
1. Общие положения
1.1. Настоящий Порядок устанавливает правила предоставления в 2018 году субсидий общественным объединениям в соответствии с пунктом 1.1.1.3 таблицы 14 подраздела 12.5 приложения к постановлению Правительства Санкт-Петербурга от 23.06.2014 N 497 "О государственной программе Санкт-Петербурга "Социальная поддержка граждан в Санкт-Петербурге" за счет бюджетных ассигнований, предусмотренных Комитету по молодежной политике и взаимодействию с общественными организациями (далее - Комитет) статьей расходов "Субсидия в виде грантов Санкт-Петербурга для общественных объединений в соответствии с Законом Санкт-Петербурга" (код целевой статьи 0340041090) в приложении 2 к Закону Санкт-Петербурга от 29.11.2017 N 801-131 "О бюджете Санкт-Петербурга на 2018 год и на плановый период 2019 и 2020 годов" (далее - субсидии).
1.2. В настоящем Порядке применяются следующие термины:
благополучатель - гражданин, принявший участие в реализации проекта и (или) посетивший мероприятия в рамках их реализации;
документы - материалы и документы, в том числе материалы и документы на электронном носителе, представляемые для участия в конкурсном отборе на право получения в 2018 году субсидий, перечень которых утвержден Комитетом (далее - перечень документов), опись документов с указанием страниц, на которых находятся соответствующие материалы и документы, проекты соглашений о предоставлении субсидий, проекты актов об исполнении обязательств по соглашениям о предоставлении субсидий;
заявление - заявление на участие в конкурсном отборе на право получения в 2018 году субсидий, представляемое претендентом на получение субсидий, по форме, утверждаемой Комитетом;
конкурсная комиссия - комиссия, созданная постановлением Правительства Санкт-Петербурга от 16.09.2013 N 706 "О Конкурсной комиссии по предоставлению грантов Санкт-Петербурга для общественных объединений" в целях определения победителей конкурсного отбора на право получения в 2018 году субсидий, принятия решения, носящего рекомендательный характер, о предоставлении субсидий и размерах предоставляемых субсидий;
конкурсный отбор - конкурсный отбор на право получения в 2018 году субсидий общественными объединениями при реализации проектов общественных объединений, относящихся к социально ориентированным некоммерческим организациям (далее - общественные объединения);
получатели субсидий - претенденты на получение субсидий, в отношении которых Комитетом принято решение о предоставлении субсидий;
претенденты на получение субсидий - общественные объединения, подавшие заявление и документы в Комитет для участия в конкурсном отборе на право получения в 2018 году субсидий;
проекты - комплекс взаимосвязанных мероприятий, проводимых получателями субсидий и соответствующих одному из направлений, указанных в статье 2 Закона Санкт-Петербурга от 10.10.2001 N 697-85 "О грантах Санкт-Петербурга для общественных объединений";
рабочая группа - рабочая группа, созданная Комитетом в целях проведения проверки заявления и документов, представляемых в Комитет;
соглашение - соглашение между Комитетом и получателем субсидий о предоставлении субсидий по типовой форме, утвержденной Комитетом финансов Санкт-Петербурга.
1.3. Субсидии предоставляются на безвозмездной и безвозвратной основе получателям субсидий в целях возмещения затрат, возникших в 2018 году, в связи с производством (реализацией) товаров, выполнением работ, оказанием услуг при реализации проектов общественных объединений, предусмотренных Законом Санкт-Петербурга от 10.10.2001 N 697-85 "О грантах Санкт-Петербурга для общественных объединений", перечень которых утвержден в приложении N 1 к настоящему Порядку (далее - затраты).
1.4. Субсидии предоставляются на конкурсной основе в соответствии с порядком проведения конкурсного отбора в пределах средств, предусмотренных на их предоставление Комитету Законом Санкт-Петербурга от 29.11.2017 N 801-131 "О бюджете Санкт-Петербурга на 2018 год и на плановый период 2019 и 2020 годов" по статье расходов, указанной в пункте 1.1 настоящего Порядка.
1.5. Конкурсный отбор проводится в целях принятия решений о предоставлении (непредоставлении) в 2018 году субсидий и размерах предоставляемых субсидий.
1.6. Критерии определения победителей конкурсных отборов установлены в приложении N 2 к настоящему Порядку.
2. Условия предоставления субсидий
2.1. Для получения субсидий и в целях заключения соглашения претенденты на получение субсидий представляют в Комитет заявление с приложением документов.
2.2. Условиями предоставления субсидий являются:
2.2.1. Реализация претендентом на получение субсидий проекта.
2.2.2. Документальное подтверждение затрат.
2.2.3. Наличие согласия получателей субсидий на осуществление Комитетом и Комитетом государственного финансового контроля Санкт-Петербурга (далее - КГФК) обязательных проверок соблюдения получателями субсидий условий, целей и порядка предоставления субсидий (далее - проверки).
2.2.4. Отсутствие у получателей субсидий нарушений бюджетного законодательства Российской Федерации, иных нормативных правовых актов, регулирующих бюджетные правоотношения, и договоров (соглашений), на основании которых предоставляются средства из бюджета бюджетной системы Российской Федерации, при использовании денежных средств, предоставляемых из бюджета Санкт-Петербурга, за период не менее одного календарного года, предшествующего году получения субсидий.
2.2.5. Отсутствие информации о получателях субсидий в реестре недобросовестных поставщиков (подрядчиков, исполнителей), ведение которого осуществляется в соответствии с Федеральным законом "О контрактной системе в сфере закупок товаров, работ, услуг для обеспечения государственных и муниципальных нужд".
2.2.6. Признание конкурсной комиссией претендентов на получение субсидий прошедшими конкурсный отбор.
2.2.7. Достижение получателем субсидий показателей результативности предоставления субсидий (далее - показатели результативности), устанавливаемых Комитетом.
2.2.8. Отсутствие у получателей субсидий иных бюджетных ассигнований на реализацию проекта.
2.2.9. Требования, которым должны соответствовать получатели субсидий на дату подачи заявления и документов:
2.2.9.1. Отсутствие у получателей субсидий неисполненной обязанности по уплате налогов, сборов, страховых взносов, пеней, штрафов, процентов, подлежащих уплате в соответствии с законодательством Российской Федерации о налогах и сборах.
2.2.9.2. Отсутствие у получателей субсидий просроченной задолженности по возврату в бюджет Санкт-Петербурга субсидий, бюджетных инвестиций, предоставленных в том числе в соответствии с иными правовыми актами, и иной просроченной задолженности перед бюджетом Санкт-Петербурга.
2.2.9.3. Отсутствие проведения в отношении получателей субсидий процедур реорганизации, банкротства и (или) ликвидации.
2.2.9.4. Получатели субсидий не должны получать средства из бюджетов бюджетной системы Российской Федерации на финансовое обеспечение (возмещение) затрат на основании иных правовых актов.
3. Порядок представления заявлений и документов
3.1. Заявления и документы представляются претендентами на получение субсидий в соответствии со сроками и местом, установленными в извещении о проведении конкурсного отбора (далее - извещение). Извещение размещается на информационном портале Комитета в информационно-телекоммуникационной сети "Интернет" по адресу: http://www.kpmp.gov.spb.ru (далее - портал Комитета).
3.2. Порядок представления заявления и документов и форма заявления утверждаются Комитетом.
Отзыв заявления и документов не предусмотрен.
Заявления и документы по истечении сроков, указанных в пункте 3.1 настоящего Порядка, не принимаются и не рассматриваются.
4. Порядок проведения проверки рабочей группой заявлений и документов
4.1. Заявления и документы на следующий день после окончания даты подачи заявлений и документов вскрываются рабочей группой, после чего рабочая группа осуществляет проверку заявлений и документов.
Порядок и сроки проведения проверки рабочей группой заявлений и документов утверждаются Комитетом.
4.2. По результатам рассмотрения заявления и документов рабочая группа принимает положительное (отрицательное) заключение о результатах рассмотрения заявления и документов (далее - заключение).
Критериями для принятия заключения являются:
соблюдение (несоблюдение) условий и целей предоставления субсидий, установленных настоящим Порядком;
достоверность (недостоверность) сведений, содержащихся в заявлении и документах, проверка которых проводится рабочей группой в соответствии с пунктом 4.1 настоящего Порядка;
полнота представленного комплекта документов в соответствии с перечнем документов;
наличие (отсутствие) бюджетных ассигнований (свободного остатка бюджетных ассигнований) на предоставление субсидий на день рассмотрения заявления и документов.
В случае обнаружения арифметических ошибок в расчете размера субсидий рабочая группа отражает указанную информацию в заключении.
В заключениях в том числе указываются рекомендации о допуске (недопуске) заявления к участию в конкурсном отборе и предельный размер подлежащих возмещению затрат. Предельный размер подлежащих возмещению затрат определяется рабочей группой на основании документов, представленных претендентом на получение субсидий, как сумма предельных затрат, установленных в приложении N 1 к настоящему Порядку. Заключения носят рекомендательный характер.
4.3. Рабочая группа в течение трех рабочих дней со дня подписания заключений обеспечивает их передачу конкурсной комиссии вместе с заявлениями и документами в целях рассмотрения их на основании заключений и принятия решения о допуске (недопуске) претендентов на получение субсидий к участию в конкурсном отборе.
5. Рассмотрение заявлений и документов конкурсной комиссией.
Принятие решения о допуске (недопуске) претендентов на получение субсидий к участию в конкурсном отборе
5.1. Порядок рассмотрения конкурсной комиссией заявлений и документов на основании заключений и порядок принятия конкурсной комиссией решения о допуске (недопуске) претендентов на получение субсидий к участию в конкурсном отборе утверждаются Комитетом.
Критериями принятия указанных решений являются:
соблюдение (несоблюдение) условий и целей предоставления субсидий, установленных настоящим Порядком;
достоверность (недостоверность) сведений, содержащихся в заявлении и документах;
полнота представленного комплекта документов в соответствии с перечнем документов;
наличие (отсутствие) бюджетных ассигнований (свободного остатка бюджетных ассигнований) на предоставление субсидий на день рассмотрения заявления и документов.
5.2. По результатам рассмотрения представленных рабочей группой заявлений и документов на основании заключений конкурсная комиссия на своем заседании принимает решения о допуске (недопуске) претендентов на получение субсидий к участию в конкурсном отборе.
5.3. Решение о допуске (недопуске) претендентов на получение субсидий к участию в конкурсном отборе принимается на основании критериев принятия решений, указанных в пункте 5.1 настоящего Порядка.
5.4. Решения конкурсной комиссии принимаются простым большинством голосов присутствующих на заседании членов конкурсной комиссии. При равенстве голосов решающим является голос председательствующего на заседании конкурсной комиссии. Заседание конкурсной комиссии считается правомочным, если на нем присутствует не менее половины членов конкурсной комиссии.
5.5. Решение конкурсной комиссии о допуске (недопуске) претендентов на получение субсидий к участию в конкурсном отборе оформляется протоколом, который не позднее пяти рабочих дней со дня его подписания размещается секретарем конкурсной комиссии на портале Комитета.
В случае несогласия с решением конкурсной комиссии любой из членов конкурсной комиссии вправе выразить особое мнение, которое отражается в протоколе либо приобщается к протоколу заседания конкурсной комиссии в виде отдельного документа.
6. Конкурсный отбор
6.1. Конкурсный отбор проводится конкурсной комиссией в целях принятия решения о предоставлении (непредоставлении) субсидий и размерах предоставляемых субсидий в отношении претендентов на получение субсидий, допущенных к участию в конкурсном отборе.
6.2. Для принятия решений о предоставлении (непредоставлении) субсидий и размерах предоставляемых субсидий конкурсная комиссия осуществляет оценку заявлений и документов претендентов на получение субсидий, допущенных к участию в конкурсном отборе.
6.3. Оценка представленных заявлений и документов осуществляется путем расчета баллов на основании критериев определения победителей конкурсных отборов, указанных в приложении N 2 к настоящему Порядку.
6.4. Порядок проведения конкурсного отбора, оценки заявлений и документов претендентов на получение субсидий, расчет баллов утверждаются Комитетом.
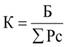
Размер предоставляемых в 2018 году субсидий рассчитывается на основании набранных участниками конкурсного отбора количества баллов по каждому заявлению, перечня затрат и предельных объемов их возмещения с учетом суммы затрат, понесенных претендентами на получение субсидий, указанных в приложении N 1 к настоящему Порядку, и с учетом расчета по установленным формулам:
,
,
где:
-
размер субсидий, предоставляемых получателям субсидий;
-
количество набранных баллов по проекту;
-
максимально возможное количество баллов;
-
размер затрат, подтвержденный первичными учетными документами, представленными
получателями субсидий;
-
коэффициент, устанавливаемый в случае, если совокупный размер субсидий без
учета указанного коэффициента (
)
превышает остаток бюджетных ассигнований;
-
размер остатка утвержденных Комитету бюджетных ассигнований, предусмотренных в
бюджете Санкт-Петербурга, для предоставления субсидий в 2018 году.
В
случае, если совокупный размер субсидий (
)
превышает остаток бюджетных ассигнований, субсидии выплачиваются всем
получателям субсидий с учетом единого понижающего коэффициента (
),
рассчитанного как отношение объема остатка бюджетных ассигнований к совокупному
расчетному размеру субсидий по всем получателям субсидий.
Максимальный размер предоставляемых субсидий не может превышать 2750000 руб.
6.5. Решение о предоставлении субсидий и размерах предоставляемых субсидий принимается на заседании конкурсной комиссии и отражается в протоколе, который подписывается всеми членами конкурсной комиссии на заседании конкурсной комиссии и размещается на портале Комитета в течение пяти рабочих дней после его подписания.
6.6. Решения конкурсной комиссии принимаются простым большинством голосов присутствующих на заседании членов конкурсной комиссии. При равенстве голосов решающим является голос председательствующего на заседании конкурсной комиссии. Заседание конкурсной комиссии считается правомочным, если на нем присутствует не менее половины членов конкурсной комиссии.
В случае несогласия с решением конкурсной комиссии любой из членов конкурсной комиссии вправе выразить особое мнение, которое отражается в протоколе либо приобщается к протоколу заседания конкурсной комиссии в виде отдельного документа.
7. Соглашения
7.1. В течение десяти рабочих дней со дня получения протоколов заседания конкурсной комиссии, указанных в пунктах 5.5 и 6.5 настоящего Порядка, секретарь конкурсной комиссии уведомляет письмом Комитета претендентов на получение субсидий:
о непредоставлении субсидий с указанием причин отказа;
о предоставлении субсидий с указанием размера предоставляемых субсидий.
Основанием для отказа в предоставлении субсидий является решение о недопуске претендента на получение субсидий к участию в конкурсном отборе или решение о непредоставлении субсидий конкурсной комиссией. Критерии принятия решений о допуске (недопуске) претендентов на получение субсидий к участию в конкурсном отборе указаны в пункте 5.1 настоящего Порядка.
7.2. В случае, если по решению конкурсной комиссии размер предоставляемых субсидий отличается от размера субсидий, заявленного претендентом на получение субсидий, секретарь конкурсной комиссии уведомляет получателей субсидий об этом с использованием одного из каналов связи, указанных в заявлении.
7.3. Претендент на получение субсидий в случае, указанном в пункте 7.2 настоящего Порядка, может выбрать один из следующих вариантов:
согласиться с суммой предоставляемых субсидий;
отказаться от предоставления субсидий.
О принятом решении претендент на получение субсидий обязан проинформировать Комитет в письменном виде или посредством электронной почты на адрес: kpmp@kpmp.gov.spb.ru в течение трех рабочих дней со дня уведомления, указанного в пункте 7.2 настоящего Порядка.
7.4. В течение десяти рабочих дней со дня получения протоколов конкурсной комиссии, указанных в пунктах 5.5 и 6.5 настоящего Порядка, секретарь конкурсной комиссии осуществляет подготовку проекта распоряжения Комитета о предоставлении субсидий, в котором указываются получатели субсидий и размер предоставляемых субсидий, и его согласование в порядке, предусмотренном Регламентом Комитета, утвержденным распоряжением Комитета от 01.02.2016 N 3-р.
7.5. В соответствии с распоряжением Комитета о предоставлении субсидий, указанным в пункте 7.4 настоящего Порядка, Комитетом и получателем субсидий заключается соглашение. Соглашение должно быть заключено не позднее семи рабочих дней после подписания распоряжения Комитета о предоставлении субсидий.
Комитет в соглашении устанавливает значения показателей результативности, а также порядок, сроки и форму представления получателем субсидий отчетности о достижении значений показателей результативности.
Порядок расчета показателей результативности утверждается Комитетом.
Показателями результативности являются:
численность участников и (или) зрителей проекта;
соотношение затрат на реализацию проекта к количеству благополучателей;
наличие публикаций в информационно-телекоммуникационной сети "Интернет" (за исключением социальных сетей) и(или) средствах массовой информации о проекте.
7.6. Субсидии перечисляются на указанный в соглашении расчетный счет получателя субсидии, открытый получателем субсидий в учреждениях Центрального банка Российской Федерации или кредитной организации, не позднее десяти рабочих дней после дня подписания соглашения.
7.7. Перечисление субсидий получателю субсидий осуществляется по казначейской системе исполнения бюджета Санкт-Петербурга.
8. Требования к отчетности
Порядок, сроки и формы представления отчетности об использовании субсидий, а также о достижении показателей результативности, утверждаются Комитетом.
9. Требования об осуществлении контроля за достижением показателей результативности и за соблюдением условий, целей и порядка предоставления субсидий и ответственность за их нарушение
9.1. В случае недостижения значений показателей результативности получатель субсидий осуществляет возврат субсидий в порядке и сроки, которые установлены Комитетом в соглашении.
9.2. Комитет в установленный им срок осуществляет проверки, по результатам которых составляют акты проведения проверок (далее - акты).
9.3. В случае выявления при проведении проверок нарушений получателями субсидий условий их предоставления Комитет одновременно с подписанием акта направляет получателям субсидий уведомление о нарушениях условий предоставления субсидий (далее - уведомление), в котором указываются выявленные нарушения и сроки их устранения получателями субсидий.
Копия уведомления в течение пяти рабочих дней после его подписания направляется Комитетом в КГФК.
9.4. В случае неустранения нарушений в установленные в уведомлении сроки Комитет в течение пяти рабочих дней со дня истечения указанных сроков принимает решение о возврате в бюджет Санкт-Петербурга субсидий, полученных получателями субсидий, в форме распоряжения и направляет копии указанного распоряжения получателям субсидий и в КГФК вместе с требованием, в котором предусматриваются:
подлежащая возврату в бюджет Санкт-Петербурга сумма денежных средств, а также сроки ее возврата;
код бюджетной классификации Российской Федерации, по которому должен быть осуществлен возврат субсидий.
Размер субсидий, подлежащих возврату по основаниям, выявленным в соответствии с пунктом 9.3 настоящего Порядка, ограничивается размером средств, в отношении которых были установлены факты нарушений.
9.5. Получатели субсидий обязаны осуществить возврат субсидий в течение семи рабочих дней со дня получения требования и копии распоряжения, указанных в пункте 9.4 настоящего Порядка.
9.6. Проверка и реализация результатов проверки проводятся КГФК в рамках осуществления им полномочий по внутреннему государственному финансовому контролю в порядке, установленном Правительством Санкт-Петербурга.
9.7. В случае, если средства субсидий не возвращены в бюджет Санкт-Петербурга получателями субсидий в установленные в пункте 9.5 настоящего Порядка сроки, Комитет в течение 15 рабочих дней со дня истечения срока, установленного в пункте 9.5 настоящего Порядка, направляет в суд исковое заявление о возврате субсидий в бюджет Санкт-Петербурга.
Приложение N 1
к Порядку предоставления
в 2018 году субсидий
общественным объединениям
в соответствии с Законом
Санкт-Петербурга
"О грантах Санкт-Петербурга
для общественных объединений"
в целях возмещения затрат
при реализации проектов
общественных объединений
Перечень затрат,
возникших в 2018 году, в связи с производством (реализацией) товаров,
выполнением работ, оказанием услуг при реализации проектов
общественных объединений, предусмотренных Законом Санкт-Петербурга
от 10.10.2001 N 697-85 "О грантах Санкт-Петербурга
для общественных объединений"
N п/п | Наименование затрат | Предельные объемы возмещения затрат |
1 | 2 | 3 |
1 | Затраты на оплату труда и начисления на оплату труда привлеченных специалистов | До 100% от суммы предоставляемых субсидий |
2 | Затраты, связанные с оплатой услуг связи | До 100% от суммы предоставляемых субсидий |
3 | Затраты, связанные с оплатой транспортных услуг | До 100% от суммы предоставляемых субсидий |
4 | Затраты, связанные с оплатой коммунальных услуг | До 100% от суммы предоставляемых субсидий |
5 | Затраты, связанные с оплатой аренды имущества | До 100% от суммы предоставляемых субсидий |
6 | Затраты, связанные с содержанием имущества | До 100% от суммы предоставляемых субсидий |
7 | Затраты, связанные с оплатой расходов на проживание и питание лиц, участвующих в реализации проекта и не имеющих постоянного места жительства в Санкт-Петербурге | До 100% от суммы предоставляемых субсидий |
8 | Затраты, связанные с оплатой услуг по фото- и видеосъемке | До 100% от суммы предоставляемых субсидий |
9 | Затраты, связанные с оплатой полиграфических услуг | До 100% от суммы предоставляемых субсидий |
10 | Затраты, связанные с оплатой канцелярских товаров и расходных материалов | До 50% от суммы предоставляемых субсидий |
11 | Затраты, связанные с оплатой сувенирной, представительской и призовой продукции | До 30% от суммы предоставляемых субсидий |
12 | Затраты, связанные с оплатой инвентаря | До 50% от суммы предоставляемых субсидий |
13 | Затраты, связанные с оплатой экипировки | До 50% от суммы предоставляемых субсидий |
Принятые сокращения:
затраты - затраты, возникшие в 2018 году, в связи с производством товаров, выполнением работ, оказанием услуг при реализации проектов общественных объединений, предусмотренных Законом Санкт-Петербурга от 10.10.2001 N 697-85 "О грантах Санкт-Петербурга для общественных объединений", в рамках направлений молодежной политики Санкт-Петербурга, утвержденным Законом Санкт-Петербурга от 26.06.2013 N 425-62 "О реализации государственной молодежной политики в Санкт-Петербурге"
проект - комплекс взаимосвязанных мероприятий, проводимых получателями субсидий и соответствующих одному из направлений, указанных в статье 2 Закона Санкт-Петербурга "О грантах Санкт-Петербурга для общественных объединений" от 10.10.2001 N 697-85
субсидии - субсидии в целях возмещения затрат при реализации проектов общественных объединений, предусмотренных Законом Санкт-Петербурга от 10.10.2001 N 697-85 "О грантах Санкт-Петербурга для общественных объединений"
Приложение N 2
к Порядку предоставления
в 2018 году субсидий
общественным объединениям
в соответствии с Законом
Санкт-Петербурга
"О грантах Санкт-Петербурга
для общественных объединений"
в целях возмещения затрат
при реализации проектов
общественных объединений
Критерии определения победителей конкурсных отборов
на право получения в 2018 году субсидий общественным объединениям
в соответствии с Законом Санкт-Петербурга от 10.10.2001 N 697-85
"О грантах Санкт-Петербурга для общественных объединений"
в целях возмещения затрат при реализации проектов общественных объединений
N п/п | Наименование критерия | Баллы |
1 | 2 | 3 |
1 | Актуальность и социальная значимость проекта | 0-40 |
1.1 | Детальная проработанность проекта, в том числе подробное описание, оптимальность механизма реализации | 0-16 |
1.2 | Конкретность и достижимость результатов проекта | 0-12 |
1.3 | Охват количества жителей Санкт-Петербурга проектом, его результатами | 0-12 |
2 | Экономическая эффективность проекта | 0-40 |
2.1 | Подробность расчетов статей расходов на реализацию проекта | 0-5 |
2.2 | Экономическая обоснованность запрашиваемых средств на реализацию проекта | 0-12 |
2.3 | Целесообразность расходов на реализацию проекта, в том числе наличие взаимосвязи объема, вида статей затрат и предполагаемых результатов проекта | 0-8 |
2.4 | Объем привлеченных внебюджетных средств, используемых участником конкурсного отбора в целях софинансирования реализации проекта | 0-8 |
2.5 | Соотношение затрат на реализацию проекта к количеству благополучателей | 0-7 |
3 | Опыт социально ориентированной некоммерческой организации | 0-20 |
3.1 | Соответствие квалификации и опыта участника конкурсного отбора запланированной деятельности | 0-5 |
3.2 | Наличие у участника конкурсного отбора в прошлом опыта использования средств субсидий Санкт-Петербурга | 0-5 |
3.3 | Наличие у участника конкурсного отбора в прошлом опыта реализации аналогичных по направлению и(или) масштабу проектов | 0-6 |
3.4 | Наличие информации о деятельности участника конкурсного отбора в информационно-телекоммуникационной сети "Интернет" и средствах массовой информации | 0-4 |
ИТОГО | 0-100 | |
Принятые сокращения:
благополучатель - гражданин, принявший участие в реализации проекта и (или) посетивший мероприятия в рамках их реализации
конкурсный отбор - конкурсный отбор на право получения в 2018 году субсидий общественными объединениями при реализации проектов общественных объединений
критерии - перечень показателей, на основании которых принимается решение о предоставлении субсидий
проект - комплекс взаимосвязанных мероприятий, проводимых получателями субсидий и соответствующих одному из направлений, указанных в статье 2 Закона Санкт-Петербурга "О грантах Санкт-Петербурга для общественных объединений" от 10.10.2001 N 697-85
общественные объединения - общественные объединения, относящиеся к социально ориентированным некоммерческим организациям, в соответствии со статьей 7 Федерального закона от 19.05.1995 N 82-ФЗ "Об общественных объединениях"
субсидии - субсидии в целях возмещения затрат при реализации проектов общественных объединений, предусмотренных Законом Санкт-Петербурга от 10.10.2001 N 697-85 "О грантах Санкт-Петербурга для общественных объединений"
участник конкурсного отбора - претендент на получение субсидий, допущенный к участию в конкурсном отборе
